Хавьер Арбонес и Пабло Милруд
«Мир математики»
№ 12
«Числа — основа гармонии.
Музыка и математика»
Предисловие
Музыка — скрытая работа ума, не сознающего, что он занят исчислениями.
Готфрид Вильгельм Лейбниц
Мировая музыкальная панорама начала XXI века фантастически разнообразна. Математика, электроника, биты и байты ведут музыку вперед, к новым рубежам. Была ли музыка менее разнообразной в начале XX века? А в X веке? А за 1000 лет до Рождества Христова? Изучались ли звуки с математической точки зрения в античном мире? Отразились ли новые технологии XIX века на музыке?
Музыка — одно из главных проявлений культуры человечества, охватывающее все страны и все эпохи. Она волнует и дарит наслаждение. Математика используется при анализе музыки и описывает множество ее аспектов: отношения между звуками в аккорде, резонанс, секреты партитуры и даже музыкальные игры. Умеющие наслаждаться математикой помимо тех эмоций, которые дарит музыка, получают удовольствие и от ее математической составляющей.
В этой книге мы расскажем о методе написания музыки, который придумал Моцарт, — с помощью игральных костей. Вы узнаете о произведениях, которые нельзя сыграть, не разгадав их загадку. Случайные события, фракталы и золотое сечение также скрываются на нотном стане. Почему существуют гармонические и диссонирующие аккорды? Благодаря чему мы в состоянии отличить скрипку от трубы? Может ли певец разбить стекло силой своего голоса? Какой вклад внесла технология в музыку? Как сформировалась современная музыкальная нотация и каким правилам она подчиняется?
Хотя в ответах на эти и многие другие вопросы не обойтись без математики, важно отметить, что музыка не зависит от науки. Разумеется, наука предлагает множество инструментов для создания музыки, и о них мы также подробно расскажем в этой книге. С помощью математики или без нее, создание музыки невозможно без вдохновения и труда композитора. Именно в этом заключается ценность, которую математика привносит в изучение музыки: она дает возможность понять и восхититься произведением искусства «из-за кулис», позволяет по-новому взглянуть на то, что казалось давно известным.
Глава 1
Игра на одной струне
Музыка стоит на втором месте после молчания, когда речь идет о том, чтобы выразить невыразимое.
Олдос Хаксли
Музыка эфемерна и существует только в нашей памяти. Она непостижима и неуловима. Именно поэтому музыка обладает магической аурой, благодаря которой люди испокон веков использовали ее в своих ритуалах. Музыка стала способом постичь божественное, доступным лишь избранным. Археологические открытия свидетельствуют, что музыкальные инструменты существовали еще в доисторические времена. Уже тогда были изобретены разнообразные ударные (например, бубен), а также примитивные трубы и флейты. Это доказывает, что первые мелодии были придуманы еще в древности.
Древняя Греция
Слово «музыка» происходит от греческого
musike; в буквальном переводе это означает «искусство муз». В греческой мифологии музы были богинями — покровительницами искусств, танцев, астрономии и поэзии.
Ученики пифагорейской школы, которая сформировалась в VI веке до н. э., пытаясь постичь гармонию Вселенной, считали числа и отношения между ними отражением этой гармонии. Пифагорейцы создали настолько подробные астрономические и музыкальные математические модели, что невозможно не понять: музыку и математику они изучали неразрывно друг от друга. Пифагорейцы считали, что движение планет порождает незаметные для человека гармонические колебания, так называемую музыку сфер.
Во всех античных цивилизациях теоретические знания отделялись от декоративно-прикладного искусства. Семь свободных искусств делились на две большие группы: первая, тривиум (от лат.
tri — три и
vium — дорога), состояла из грамматики, диалектики и риторики; вторая, квадривиум (от
quadri — четыре), включала арифметику, геометрию, астрономию и музыку. Считалось, что человек, изучивший эти семь дисциплин, «семь свободных искусств», живет в гармонии со Вселенной.
Музыкальная система Пифагора
Последователи пифагорейской школы изучали музыку на основе звуков, издаваемых единственной струной музыкального инструмента, называемого монохордом. Длина струны монохорда изменялась подобно тому, как гитарист зажимает струны при игре на современной гитаре. При изменении длины изменялась звучащая нота: чем короче струна, тем выше нота. Пифагорейцы попарно сравнивали звуки, соответствующие различным длинам струны. В своих экспериментах они описывали соотношения длин сторон, выражаемые небольшими числами: они делили струну пополам, в соотношении один к двум, два к одному и так далее.
Результаты оказались удивительными: звуки, издаваемые при колебаниях струн, длины которых выражались небольшими числами, оказывались самыми приятными, то есть самыми гармоничными. На основе этих наблюдений пифагорейцы создали математическую модель физического явления, в которой при этом учитывалась и эстетическая составляющая. Нечто подобное произошло позднее, в эпоху Возрождения, когда понятие красоты стали связывать с золотым сечением.
Простейшее соотношение образуется, если зажать струну ровно посередине. Это отношение в численном виде записывается как 2:1 и соответствует интервалу в одну октаву (например, от ноты
до до следующего
до). Еще одно простейшее соотношение образуется, если прижать струну в точке, отстоящей от конца струны на треть ее длины. В численном виде это отношение записывается как 3:2 и соответствует интервалу в одну квинту (интервал от
до до
соль). Если прижать струну в точке, отстоящей от ее конца на четверть длины, что в численном виде записывается как 4:3, получится интервал, известный под названием кварта (интервал от
до до
фа).
* * *
ЗВУКИ ПЛАНЕТ
Представление о гармоничном космосе было частью классической культуры, пережившей второе рождение в эпоху Возрождения. Воплощением этого представления, которое изучали пифагорейцы, а также Аристотель и Платон, является гармония сфер. Ее суть заключается в том, что планеты при движении издают звуки, не слышимые человеком, и эти звуки являются созвучными, то есть гармоническими. Немецкий ученый Иоганн Кеплер (1571–1630) изучал религию, этику, диалектику, риторику, а также физику и астрономию. Он был сторонником гелиоцентрической теории и следовал заветам пифагорейцев и Платона. В начале XVII века движение планет считалось загадочным даже в научных кругах. Считалось, что объяснить его можно было лишь волей Бога.
Кеплер пролил свет на эту загадку, открыв законы движения планет, что стало одним из величайших научных открытий всех времен. Однако этим он не ограничился и включил в свою теорию классическое представление о гармонии сфер. Так, в своей книге Harmonices Mundi («Гармония мира») 1619 года Кеплер помимо астрономических законов изложил тезис о том, что каждая планета при вращении вокруг Солнца издает звук, зависящий от ее угловой скорости. Эта угловая скорость максимальна в перигелии (точке, ближайшей к Солнцу) и афелии (точке, наиболее удаленной от Солнца) эллиптической орбиты планеты. Кеплер сравнил звуки, соответствующие перигелию и афелию орбит всех планет, а также звуки, издаваемые соседними планетами. Затем он разработал музыкальный строй и аккорды, соответствующие этим звукам. Согласно его расчетам, мелодии Венеры и Земли в разных точках орбиты отличались на полутон или менее, а мелодия Меркурия изменялась более чем на одну октаву. Кеплер был религиозным человеком, поэтому придерживался мысли, что звучание планет очень редко оказывается гармоничным — возможно, лишь единожды, в момент божественного Сотворения.
Иллюстрация из книги Harmonices Mundi Иоганна Кеплера, на которой записаны предполагаемые звуки, издаваемые планетами.
ПИФАГОР САМОССКИЙ (ОК. 570 — ОК. 490 ГГ. ДО Н. Э.)
Пифагор родился на греческом острове Самос. Вдохновленный примером философа и математика Фалеса Милетского, он совершил длительное путешествие в Египет и Месопотамию, где изучал различные науки. Путешествие побудило его создать собственную школу, в которой сочетались различные естественно-научные, эстетические и философские дисциплины. Пифагор и его последователи изучали самые разнообразные области знания: акустику, музыку, арифметику, геометрию, астрономию. Слава Пифагора и его школы была столь велика, что ему приписывается авторство одной из фундаментальных теорем геометрии — теоремы Пифагора, которая была известна на Востоке несколькими веками ранее. В виде формулы теорема Пифагора записывается так:
а2 + Ь2 = с2.
Это уравнение имеет бесконечно много целых решений, которые называются пифагоровыми тройками. Любые три числа, образующие пифагорову тройку, являются длинами сторон угольника — инструмента, используемого в сельском хозяйстве и различных ремеслах для построения прямых углов.
* * *
Таким образом, становится очевидно, что если длины струн удовлетворяют соотношению
(
n + 1)/
n,
то соответствующие им звуки будут гармоническими, приятными слуху. Пифагорейцы считали это доказательством прямой взаимосвязи между числами и гармонией, красотой.
Абсолютная высота звуков
Чтобы лучше понять важность открытий, совершенных пифагорейцами, следует различать абсолютную и относительную высоту звука. Каждая музыкальная нота задает высоту, в зависимости от которой звук называется низким или высоким. Высота звука определяется частотой колебаний соответствующей звуковой волны (мы поговорим об этом позже). Чем больше частота, тем выше звук. (В приложении I приводится подробное объяснение этого и других понятий музыки.)
Клавиши пианино, соответствующие низким звукам, расположены слева; клавиши, соответствующие высоким звукам, — справа.
* * *
ЛОПАЮЩЕЕСЯ СТЕКЛО И ТОНУЩИЕ МОСТЫ
Во многих художественных и мультипликационных фильмах можно увидеть, как певец берет очень высокую ноту и силой своего голоса разбивает стеклянный бокал. Это абсолютно реальное физическое явление. Твердые тела обладают собственной частотой колебаний, зависящей от материала, формы и других свойств. Источник звука испускает звуковые волны, вызывающие колебания окружающего воздуха. Если частота звуковой волны и частота собственных колебаний предмета совпадают, то амплитуда колебаний резко возрастает. Это физическое явление называется резонансом. Если при этом увеличивается акустическая энергия (иными словами, громкость звука), то амплитуда колебаний предмета становится еще больше. Струна не рвется от подобных колебаний благодаря своей гибкости. Другие тела, не столь упругие, не справляются с колебаниями и разрушаются. Именно из-за этого лопается стеклянный бокал. Известны и более серьезные случаи. 7 ноября 1940 года, спустя несколько месяцев после постройки, из-за колебаний, вызванных сильным ветром, обрушился висячий Такомский мост в американском штате Вашингтон. В авиации такое явление известно под названием флаттер.
* * *
Человеческое ухо способно различать звуковые колебания частотой примерно от 20 до 20000 герц. 1 герц (Гц) означает одно колебание в секунду. Колебания более низкой частоты называются инфразвуком, более высокой — ультразвуком. Частота звука каждой ноты является абсолютным значением, однозначно определяющим конкретную ноту. Известно, что нота
ля настраивается на 440 Гц, но следует различать звук частотой 440 Гц и название, которое носит звук такой частоты. Этот звук обозначается нотой
ля из соображений удобства. Эта частота была выбрана произвольно, подобно метру, который лежит в основе всей метрической системы измерений, и утверждена была похожим образом. Частота в 440 Гц была принята в качестве стандарта ноты
ля в 1939 году на Международной конференции в Лондоне. Ранее это значение не было унифицированным. В разное время и в разных регионах производители музыкальных инструментов использовали разные значения. В настоящее время многие оркестры все еще предпочитают настраивать инструменты на другие частоты, и в некоторых случаях частота ноты
ля достигает 444 Гц и более.
* * *
ПРОБЛЕМЫ С ПРОСТЫМ ЧИСЛОМ
В начале XX века была установлена стандартная частота ноты ля в 439 Гц. Почему же в итоге была выбрана частота в 440 Гц? Согласно гипотезе одного из членов Британского института стандартов, «частота, используемая в трансляциях ВВС, определялась осциллятором, в котором использовался пьезоэлектрический кристалл с частотой колебаний в миллион герц. Эта частота уменьшалась электронными средствами до тысячи герц, затем умножалась на 11 и делилась на 25. Так получилась частота в 440 Гц. Так как число 439 является простым, то его нельзя получить подобным способом».
* * *
Интервалы и относительная высота звуков
Перед тем как рассказать об относительной высоте звуков, следует объяснить понятие интервала. Как вы только что увидели, каждой ноте соответствует определенная частота, которая отличает эту ноту от других. Однако пифагорейцы анализировали не отдельные ноты, а отношения между ними. Две любые ноты разделяет расстояние, называемое интервалом. Существует два подхода к этому понятию. Согласно первому, интервал — это расстояние между нотами. Каждый интервал носит название в соответствии с числом нот, содержащихся в границах интервала. Так, интервал между
до и
фа содержит четыре ноты:
до-
ре-
ми-
фа. Интервал
до — фа называется квартой. Также говорят, что расстояние между
до и
фа равно кварте. Уже известный нам интервал октава подчиняется этому же правилу: чтобы перейти от до к следующему
до, нужно восемь нот:
до-
ре-
ми-
фа-
соль-
ля-
си-
до. Указанные выше интервалы являются восходящими. Нисходящие интервалы начинаются с более высокой ноты и читаются в обратном направлении: интервал
до — ля называется терцией, так как охватывает три ступени:
до-
си-
ля. (Полная классификация интервалов несколько сложнее. О ней подробно рассказано в приложении I.)
Согласно второму подходу, интервалы можно также представлять в численном виде как соотношение частот нот. В этом случае имеет значение не абсолютная частота звука каждой ноты, а отношение между их частотами. Тогда две ноты можно сравнить, указав разделяющий их интервал в виде отношения частот соответствующих звуков. Если, например, мы сыграем две ноты, разделенные интервалом в одну кварту, то более высокая нота будет иметь частоту, равную 4/3 частоты более низкой ноты. Если два звука разделены интервалом в одну квинту, то их частоты относятся как 3:2. Например, для ноты
ля частотой 440 Гц следующая нота
ми, отделенная интервалом в одну квинту, будет иметь частоту в 660 Гц.
* * *
ЛИНЕЙНЫЙ И ЭКСПОНЕНЦИАЛЬНЫЙ РОСТ
Интервал между двумя нотами называется по числу нот, их разделяющих, включая границы интервала. Из-за этого операция сложения интервалов не является интуитивно понятной. Чему равна сумма секунды и терции? Квинте? Достаточно выполнить несложные расчеты, чтобы показать, что это не так. Пусть началом интервала, равного искомой сумме, будет нота до. Прибавив секунду, мы получим ноту ре. Прибавив терцию, получим фа. Таким образом, сумма этих интервалов равна не квинте, а кварте.
Сумма интервалов подчиняется линейному закону. Если мы пронумеруем клавиши пианино, обозначив за 1 самую низкую ноту, за 88 — самую высокую, то увидим, что клавиши, соответствующие ноте ля, имеют номера 1, 8, 15, 22, 29 и так далее. Иными словами, чтобы перейти от одной ноты ля к следующей, нужно перейти на семь клавиш вправо или влево. Однако если мы рассмотрим не клавиши пианино, а частоты соответствующих звуков, то увидим, что они возрастают не линейно, а экспоненциально. Так, самый низкий звук пианино, соответствующий ноте ля, настраивается на частоту 27,5 Гц. Чтобы перейти к следующему ля, нужно не прибавить к этой частоте какое-то фиксированное число, а умножить эту частоту на 2. Таким образом, следующая ля настраивается на 55 Гц, следующая — на 110 Гц и так далее.
* * *
Отношение между длинами двух струн обратно отношению между частотами звуков, издаваемых этими струнами. Например, если звуки разделены квинтой, то есть их частоты относятся как 3:2, то длины этих струн относятся друг к другу как 2:3. Далее мы не будем упоминать о длинах струн, а будем говорить только о частотах звуков.
Так, две ноты, частоты которых равны 440 Гц и 880 Гц, разделены интервалом в одну октаву и настроены в точном соответствии со стандартом для ноты
ля. Ноты, частоты которых равны 442 Гц и 884 Гц, также разделены интервалом в одну октаву, хотя настроены не по стандарту. И наконец, ноты, частоты которых равны 443 Гц и 887 Гц, не разделены интервалом в одну октаву. На слух они распознаются как «ненастроенная октава».
* * *
ПРОКЛЯТИЕ АБСОЛЮТНОГО СЛУХА
Абсолютный слух — это способность, позволяющая на слух определять ноты. Если мы нажмем любую клавишу пианино, человек с абсолютным слухом сможет назвать прозвучавшую ноту. Абсолютный слух и музыкальное дарование не связаны между собой. На самом деле многие музыканты страдают от своего абсолютного слуха. Например, в хоровой музыке партитуры часто транспонируют, подстраивая их под тон, в котором будет лучше звучать хор. Песня может исполняться в полном соответствии с партитурой, но на полутон ниже. Исполняемые ноты не совпадут с нотной записью, и музыкант с абсолютным слухом придет в замешательство.

* * *
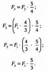
Соотношение между частотами нот позволяет на основе одного известного звука найти другой, отделенный от исходного любым интервалом. Для этого нужно умножить частоту исходного звука на соответствующий коэффициент. К примеру, зная частоту
F1 можно найти частоту
F2 звука на одну кварту выше, то есть в 4/3 раза больше, следующим образом:
Эту формулу можно последовательно применять несколько раз, используя необходимые множители. Например, если
F3 на одну большую терцию больше (отношение частот звуков будет равняться 5/4), чем
F2 можно вычислить отношение между
F3 и
F1 следующим образом:
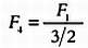
Эти расчеты можно производить и в обратном порядке, используя деление вместо умножения. Например, частота
F4, которая на одну квинту ниже
F1, вычисляется так:
Музыкальная и численная формы представления интервалов тесно связаны между собой. Далее мы будем использовать и ту, и другую форму в зависимости от контекста.
Настройка пианино
Попробуем определить частоты 12 нот одной октавы пианино.
Будем действовать следующим образом: определив частоту одной ноты
ре, зададим частоты всех остальных
ре путем умножения или деления этой частоты на 2. Выполним аналогичные действия для всех остальных нот.
Нота
до будет иметь нормализованное начальное значение, равное 1. Всем остальным нотам будут соответствовать числа в интервале от 1 (начальное
до) до 2 (следующее
до). Эти числа будут соответствовать отношению частоты заданной ноты и начального
до. Чтобы настроить пианино, нужно определить эти значения для всех нот. В качестве начального значения для расчетов можно выбрать любое число (например, 440 Гцдля ноты
ля).
12 нот означают, что начальное и следующее до разделяют 12 «шагов». Каждый из этих шагов называется полутоном. Сначала попробуем решить эту задачу, используя результаты, применяемые пифагорейцами при настройке инструментов той эпохи.
Пифагорейский строй
Пифагорейский строй основывался на простых отношениях между различными звуками. В его основе лежали два интервала: октава, соответствующая отношению между частотами звуков 2:1, и квинта, соответствующая отношению 3:2. Пифагорейцы получали различные звуки с помощью последовательности квинт, затем использовали перенос на одну или несколько октав, чтобы найти частоты звуков в необходимом диапазоне.
В качестве примера начнем с ноты
до. Сначала найдем частоту звука, отделенного от этой ноты восходящей квинтой, и получим ноту
соль. Повторив эти же действия, получим
ре, затем
ля, затем
ми и, наконец,
си. Выполнив смещение на одну нисходящую квинту с начального
до, получим ноту
фа. Так получаются семь звуков пифагорейского строя:
фа <—
до —>
соль —>
ре —>
ля —>
ми —>
си.
* * *
НАЗВАНИЯ НОТ
Греки дали названия нотам по первым буквам ионийского алфавита. Один и тот же звук, измененный на половину тона или сдвинутый на одну октаву, обозначался разными буквами. Например, нота фа обозначалась буквой альфа, бета обозначала фа-диез, гамма — фа-дубль-диез. Звуки пифагорейского строя располагались в порядке убывания, в современном музыкальном строе они расположены с точностью до наоборот.
Римляне также использовали буквы алфавита для обозначения звуков. Боэций, который в V веке н. э. создал пятитомный труд по теории музыки, рассматривал строй из пятнадцати нот, охватывавших две октавы. Каждую из этих нот Боэций обозначил своей буквой, не учитывая цикличность октав. На следующем этапе, разумеется, эта цикличность стала учитываться в названиях нот, и одни и те же ноты разных октав стали обозначаться одинаковыми буквами.
В так называемой английской (или немецкой) нотации семь нот обозначались заглавными латинскими буквами от А до G, ноты следующей октавы — строчными буквами от а до g, ноты третьей октавы — удвоенными строчными буквами (аа, bb, сс, dd, ее, ff, gg). Так свои названия получили семь звуков, соответствующие белым клавишам фортепиано. Остальные пять звуков, соответствующие черным клавишам, получили производные от основных звуков названия позднее, с появлением понятий «бемоль», «бекар» и «диез».
В XI веке тосканский монах Гвидо д'Ареццо (ок. 995 — ок. 1050) разработал набор мнемонических правил для чтения нот. Возможно, самым известным из них является так называемая гвидонова рука. В этом методе ноты условно располагаются в алфавитном порядке на пальцах руки. Гвидо д'Ареццо также дал названия всем нотам. Он обозначил каждый звук первым слогом в каждой строке очень известной в то время молитвы Иоанну Крестителю:
Utqueant laxis,
resonare fibris,
Mlra gestorum,
famuli tuorum,
Solve polluti,
Labii reatum,
Sancte lohannes.
Позднее слог ut заменился на do. Так появились названия нот, которые используются и сейчас.
Рисунок «гвидоновой руки» из средневековой рукописи.
* * *
Если продолжить цепочку квинт, получится 12 звуков так называемого хроматического строя, составляющие квинтовый круг:
где знаки бемоль (

) и диез (
#) означают изменение на полутон ниже и выше соответственно.
После того как мы получили 12 нот, упорядочив квинты, нетрудно вычислить частоты всех нот, лежащих в пределах одной октавы, путем сдвига на одну или несколько октав.
Подсчеты
Определим частоту каждой ноты с помощью цепочки квинт и сдвига на одну или несколько октав, то есть путем деления и умножения частоты на 2. Напомним, что отношение между частотами звуков всегда будет принимать значение между 1 (соотношение частоты одного и того же звука) и 2 (отношение частот нот до соседних октав).
Сначала определим относительную частоту ноты соль, которая отстоит на одну квинту от ноты
до:
соль = 3/2
Затем определим частоту ноты
ре, которая отстоит на одну квинту от
соль (необходимо умножить частоту на 3/2), но потребуется сдвиг на одну октаву ниже (умножить частоту на 1/2):
Расстояние между
до и
ре называется целым тоном. Как и следовало ожидать, один тон равен двум полутонам.
Затем определим относительную частоту ноты
ля, отстоящей на одну квинту от
ре:
Нота
ми отстоит на одну квинту от
ля, но потребуется сдвиг на одну октаву ниже:
Последние ноты строя —
си, отстоящая на одну квинту от
ми, и
фа, для получения которой необходим сдвиг на одну квинту ниже
до с последующим смещением на одну октаву выше (потребуется умножить частоту на 2).
Приняв частоту
до за 1, представим частоты всех нот в таблице:
Можно повторить эти же действия, чтобы определить частоты бемолей, соответствующих черным клавишам пианино.
Для этого нужно последовательно выполнять сдвиг на одну квинту ниже, начиная с ноты
фа.
Пифагорейская комма
На одну квинту выше ноты
си находится
фа-диез, который должен совпадать с
соль-бемоль. Но это не один и тот же звук: разница между
фа-диез и
соль-бемоль называется пифагорейской коммой. Аналогично, определив частоты
фа-диез и
ре-бемоль, мы увидим, что они отстоят друг от друга не на одну кварту, а на интервал, который отличается от квинты на одну пифагорейскую комму. Эта квинта, которая немного меньше настоящей, называется волчьей квинтой.
Построив квинтовый круг из 12 квинт, мы получим ноту, которая немного отличается от первоначальной и отстоит от нее на семь октав:
Это «немного» и есть пифагорейская комма. Ее значение (обозначим его ПК) можно вычислить, взяв за основу частоту
f и сравнив цепочку из 12 квинт, начиная с
f, с цепочкой из семи октав:
Отличие будет чуть больше 1 % октавы или, что равносильно, почти четверть полутона. Это отличие вызвано тем, что дробь, соответствующая квинте, несовместима с дробью, соответствующей октаве, что нетрудно показать. Для этого попробуем найти такие показатели степеней
х и
у, которые позволят связать эти две дроби:
Из последнего равенства следует, что нужно найти число, которое одновременно было бы степенью двух и трех. Однако, так как 2 и 3 являются простыми числами, это противоречит основной теореме арифметики, согласно которой любое положительное число можно однозначно представить в виде произведения простых множителей. Эту теорему, которую сформулировал Евклид, впервые полностью доказал Карл Фридрих Гаусс. Из нее следует, что квинта и октава пифагорейского строя никогда не совпадут, то есть не существует хроматического строя без пифагорейской коммы, что аналогично.
Другие разновидности музыкального строя
И человеческий голос, и безладовые инструменты допускают использование так называемого натурального строя, в котором ноты более согласованны, гармоничны. И голос, и струнные инструменты допускают незначительное изменение высоты издаваемого звука (корректировку строя) для наибольшего созвучия. Как вы увидели, пифагорейский строй создается на основе одной главной ноты, из которой получаются остальные ноты путем упорядочивания чистых квинт. Однако это вызывает некоторые математические затруднения: во-первых, несовместимость квинты и октавы ведет к появлению уже упомянутой волчьей квинты, во-вторых, существует несовместимость между квинтами и большими терциями.
В пифагорейском строе соотношение частот для терций получается с помощью цепочки из четырех квинт. Используя смещение на одну или несколько октав, получим, что соотношение частот равно 81:64. Однако существует и другой способ определения терции с помощью простого соотношения 5/4 или, что равносильно, 80:64. Это чистая терция.
Отсюда следует, что в пифагорейском строе, представляемом в виде последовательности квинт, терции не являются чистыми. На белых клавишах пианино расположены три терции:
до — ми, фа — ля и
соль — си. Можно сказать, что пифагорейский строй состоит из чистых квинт в ущерб чистоте терций.
Диатонический строй
В результате поисков «чистого» натурального строя появилась новая система отношения звуков — диатонический строй. В пифагорейском строе звуки выражаются в виде последовательности квинт. Диатонический строй имеет более сложную структуру.
Начиная с ноты
до, соблюдая интервалы в одну квинту, откладываются две следующие основные ноты этого строя:
фа и
соль. Далее определяются
ми, ля и
си, отстоящие на чистую терцию от
до, фа и
соль соответственно.
Последняя нота,
ре, отстоит от ноты
соль ровно на одну квинту:
Интервалы диатонического строя «чище» и более постоянны. Это проявляется и в том, что соотношения частот звуков диатонического строя относительно просты. Сначала, начиная с ноты
до, частота которой принимается равной 1, рассчитываются частоты нот
фа и
соль, отстоящих от
до на одну чистую квинту. Частота
фа принимается равной 4/3, частота
соль — 3/2. Далее рассчитывается частота ноты
ми, отстоящей от до на 5/4.
Аналогично определяется частота ноты
ля, которую отделяет от
фа одна терция:
Си отстоит на одну терцию от
соль:
И наконец, рассчитывается частота
ре, которую отделяет от ноты
соль одна чистая квинта со сдвигом в одну октаву:
Последовательность, определяющая интервалы диатонического строя, подчиняется структуре тональной музыки. К тональной музыке принадлежит подавляющее большинство музыкальных композиций, созданных за последние несколько веков, начиная от периода барокко и классики и заканчивая рок- и поп-музыкой, а также западной фолк-музыкой.
В тональной музыке ноты выстроены в иерархию вокруг главной ноты, которая называется тоникой, или тональным центром. Каждая нота выполняет определенную музыкальную «функцию» в произведении. Из-за этого некоторые ступени тональности (особенно те, в построениях которых участвуют диезы и бемоли, которым соответствуют черные клавиши пианино) настраиваются в зависимости от контекста. Эти варианты приведены в следующей таблице.
Неизбежные сложности
Диатонический строй не миновали проблемы, неизбежно возникающие из-за несовместимости основных интервалов — октавы, квинты и терции. Почти для всех квинт соотношение частот звуков равно 3/2, но для квинты
ре — ля оно немного меньше: 40/27. При дополнении диатонического строя диезами и бемолями все усложняется еще больше: неизбежно появляется волчья квинта.
Было предпринято множество попыток решить эту проблему с помощью различных темпераций — систем, в которых трудности при построении строя решаются в ущерб чистоте некоторых интервалов. Изменение чистоты каждого интервала определяет его «окраску».
Хотя построением различных строев и темперированием достигается относительно приемлемое равновесие, оно всегда основывается на тонике — ноте, от которой отсчитываются все остальные.
Если тоника остается неизменной, не возникает никаких трудностей. Однако при смене тонального центра изменяется весь строй.
Несмотря на то что абсолютная частота звуков, соответствующих всем нотам, остается неизменной, смена тонального центра нарушает равновесие, что приводит к смене «окраски».
Если музыкальное произведение, тональным центром которого является нота
до, исполняется на инструменте, настроенном от
до, то произведение звучит в точности так, как было задумано. Представим, что мы хотим исполнить это же произведение, но на тон выше, то есть с центром в
ре, на том же инструменте, который по-прежнему настроен от
до. Мелодия покажется нам не только более высокой, но и фальшивой.
Чтобы убедиться в этом, подробно рассмотрим интервал
ре — ля. В диатоническом строе соотношение частот для этого интервала равно не 3/2, а 40/27. В новой интерпретации с тональным центром в
ре интервал
ре — ля займет место интервала
до — соль, соотношение частот для которого равно 3/2.
Решение проблемы
Пока что нам не удалось найти музыкальный строй, не содержащий «ненастроенных» интервалов. Неизбежно возникает вопрос: можно ли создать такой строй, в котором все соотношения между нотами оставались бы неизменными вне зависимости от выбора тонального центра? Эту проблему нельзя решить посредством уравнивания интервалов, изменяя частоту нот так, чтобы увеличить или уменьшить определенные интервалы. Решение задачи заключается в том, что октава изначально должна делиться на 12 равных интервалов. Эти 12 интервалов должны разбиваться на 12 равных полутонов, которые в сумме составляют одну октаву.
Винченцо Галилей, отец Галилео Галилея, еще в XVI веке предложил разделить октаву на 12 равных полутонов. Соотношение частот этих полутонов равнялось 18/17. Упорядочиванием 12 таких интервалов получались малые октавы и квинты, соотношение частот для которых равнялось 1,9855… и 1,4919… соответственно.
Подойдем к решению этой задачи с чисто математической точки зрения. Обозначим за
х отношение частот звуков для последовательных полутонов такое, что 12 интервалов по
х образуют октаву. На языке алгебры это означает, что должно выполняться равенство
Значение
х, равное 1,059463094…, позволяет по определению получить идеальную октаву. Пифагорейская комма равномерно распределяется по всему строю.
Как вы уже увидели, во всех разновидностях музыкального строя, которые использовались в разное время, положение пифагорейской коммы определялось в зависимости от того, какой интервал считался самым важным. Самые важные интервалы сохранялись чистыми, остальные искажались. В строе с соотношением частот 1,059463094…, который называется равномерно темперированным строем, все интервалы «ненастроены» равномерно.
Чтобы определить частоту звуков для каждого интервала, необходимо составить цепочку из необходимого числа полутонов. Рассмотрим в качестве примера квинту. Она состоит из семи полутонов. Следовательно, отношение частот звуков, определяющих границы квинты, будет равно
х7 = (1,059463094…)
7 = 1,498307071…
С помощью этого простого правила формируется строй из 12 нот. Соотношение частот для всех интервалов приведено в следующей таблице:
Равномерно темперированный строй стал использоваться во всем мире, особенно для инструментов с фиксированным строем. Звуки этого строя приятны на слух. Хотя некоторые интервалы получаются излишне большими, а другие, напротив, слишком малыми, равномерно темперированный строй имеет два важных преимущества. Во-первых, что ценно с практической точки зрения, его можно использовать для уже существующих инструментов. Во-вторых, что ценно с музыкальной точки зрения, благодаря тому, что все интервалы равны между собой, «окраска» остается неизменной вне зависимости от выбора тонального центра. (Стоит отметить, что некоторые считают это не преимуществом, а недостатком, ведущим к утере разнообразия.)
Важно учитывать, что все вышеизложенное справедливо для инструментов с фиксированным строем, например для пианино: его звучание не меняется по ходу исполнения музыкального произведения. Однако инструменты с нефиксированным строем, а также человеческий голос могут быть настроены согласно диатоническому или равномерно темперированному строю.
Центы
Цент — это логарифмическая единица, используемая для точного измерения интервалов, отношение частот для которых крайне мало. Цент получается делением полутона на 100 равных (перемножающихся!) микроинтервалов. Интервал в 1 цент слишком мал, чтобы его можно было различить на слух.
Подобно тому как 12 полутонов образуют октаву, цент — это число с такое, что
С помощью центов можно по-новому сравнивать интервалы различных темпераций. Так как цент — это логарифмическая единица, то в цепочке центов частоты складываются, а не перемножаются, как в предыдущих случаях. Следовательно, использование центов значительно упрощает вычисления. Интервал
р выражается в центах следующим образом:
с(
р) = 1200·
log2p.
Благодаря этой формуле можно пересчитать все интервалы и представить их в виде центов, что упрощает сравнение различных музыкальных строев:
* * *
ГАРМОНИЧНЫЕ КОЛОКОЛЬЧИКИ
Ветряные колокольчики состоят из небольших трубок разной длины, обычно металлических, которые крепятся к круглому основанию. Под дуновением ветра трубки ударяются о кольцо, закрепленное в центре. Как правило, трубки подбираются так, чтобы их звучание соответствовало пентатоническому звукоряду. Они также могут быть подобраны индивидуально, в соответствии с любым другим звукорядом. Должна соблюдаться относительная длина трубок, кроме того, отверстие в каждой трубке должно находиться в строго определенном месте. За основу берется трубка длины L, звук которой принимается в качестве основы звукоряда. Через Li рассчитываются длины остальных трубок в соответствии с формулой
Колокольчики различной формы, изготовленные из металлических трубок.
Ri — соотношение частоты данного звука и базового. В свою очередь, подвес должен располагаться на высоте, равной 22,4 % от общей длины трубки. В следующей таблице приведены некоторые значения длин трубок для колокольчиков из семи трубок:
Также можно вычислить длины трубок для более низких звуков, например для нисходящей кварты. В этом случае значение Ri будет обратным значению для восходящей кварты:
* * *
Квинты равномерно темперированного строя несколько меньше чистых квинт. Терции равномерно темперированного строя, в свою очередь, больше чистых терций, но меньше пифагорейских.
Соизмеримость
Пифагорейцам не были известны дроби в том виде, в котором мы их используем сейчас. Вместо этого применялось эквивалентное понятие отношения между целыми числами. Как вы уже увидели, с помощью таких отношений пифагорейцы описали соотношения длин струн, способных производить гармоничные звуки: 2:1, 3:2, 4:3, …
Пифагорейцы были твердо убеждены в том, что числа выражали гармонию Вселенной, поэтому две величины всегда должны быть соизмеримы: их отношение должно выражаться как отношение целых чисел. Понятие соизмеримости напрямую связано с числами, которые мы называем рациональными. Рациональное число — это число, представляемое обыкновенной дробью, числителем которой является целое число, а знаменателем — натуральное. На языке современной математики пифагорейское понятие соизмеримости будет звучать так: две произвольные величины
А и
В соизмеримы, если существует третья величина
С и два целых числа
р и
q такие, что
С укладывается в
А р раз, а в
В — q раз.
Иными словами, можно, используя всего два целых числа, точно определить, во сколько раз
А больше (или меньше)
В. Однако уже пифагорейцы, к своему неудовольствию, обнаружили, что существуют несоизмеримые числа, отношение между которыми нельзя представить с помощью целых чисел. В настоящее время такие числа называют иррациональными. Самые известные иррациональные чисда — это
π и √2. Корень из двух — это длина гипотенузы прямоугольного треугольника с катетами длиной 1, вычисленная по теореме Пифагора.
* * *
ТРИ СРЕДНИЕ ВЕЛИЧИНЫ
Пифагор находился под влиянием своих знаний о средних величинах (среднем арифметическом, среднем геометрическом и среднем гармоническом) и о мистицизме натуральных чисел, особенно первых четырех, называемых «тетракис».
Как видно на рисунке ниже,
3:4 — это среднее арифметическое 1 и 1/2:
2:3 — среднее гармоническое 1 и 1/2:
Пифагор экспериментально доказал, что струны с соотношением длин 1:2,2:3 (среднее гармоническое 1 и 1/2) и 3:4 (среднее арифметическое 1 и 1/2) издают приятные звуки. Как вы уже знаете, на основе этих соотношений он создал свой музыкальный строй. Пифагор назвал эти интервалы диапазон, диапент и диатессарон. Мы называем эти интервалы октавой, квинтой и квартой соответственно. Но что случилось со средним геометрическим? Пифагор отказался от него, так как оно было несоизмеримо с остальными? Вовсе нет: среднее геометрическое точно соответствует ноте фа-диез хроматического строя.

* * *
Как вы уже увидели, при настройке интервалов так, чтобы соотношение частот равнялось 18/17, что предлагал Винченцо Галилей, нельзя получить чистые октавы. Число 18/17 достаточно точное, но стоит задаться вопросом: существует ли рациональное число, равное

— соотношению частотдля интервалов равномерно темперированного строя? Иначе говоря, существуют ли два целых положительных числа
а и
b такие, что
Их не существует. Следовательно, если соотношение частот звуков описывается отношением целых чисел
а/
Ь, то цепочка из 12 полутонов не будет равна «настоящей» октаве. Если бы такие числа существовали, то выполнялось бы равенство
и, как следствие, существовали бы два целых числа
а’ =
а6 и
b’ =
b6 такие, что (
а’/
Ь’)
2 = 2. Следовательно, число √2 было бы рациональным, что невозможно.
Что сказали бы пифагорейцы, увидев, что задача о создании идеального музыкального строя решается с помощью иррациональных чисел?
Глава 2
Другое измерение: время
Думаю, что ритм — основная, возможно, важнейшая часть музыки: он появился раньше, чем мелодия и гармония, и, признаюсь, я испытываю к нему тайную симпатию.
Оливье Мессиан (1908–1992)
Вселенная непрерывно меняется. Течение времени проявляется в изменении положения предметов, их формы, физических и химических свойств. Биологические, метеорологические, геологические, астрономические явления происходят с течением времени. Явления природы, как и деятельность человека, подчинены определенному ритму.
Равномерно сменяют друг друга фазы Луны, приливы и отливы, времена года, дни и ночи. К счастью, человек смог найти ритм, отличающийся от размеренного ритма, задаваемого стрелками часов. Ритмом называется чередование каких-либо элементов, происходящее с определенной периодичностью. В музыке ритм — это частота, с которой воспроизводится последовательность звуков.
Люди пытались записывать мелодии с помощью символов с античных времен. Невмы, примитивные музыкальные символы, описывали музыкальные фразы и громкость исполнения, но не указывали на высоту звуков или ритмический рисунок. Чтобы читать невмы, исполнитель должен был знать мелодию, которая передавалась из уст в уста.
Ритмические группы. Ритмы, доли, акценты
Когда мы слушаем музыку, то иногда невольно начинаем сопровождать ритм движениями руки, ноги или головы. Эти ритмические группы, которые мы слышим, называются долями. Если слушать музыку внимательно, то можно уловить ритмический рисунок каждой доли, некий внутренний ритм, который называется ритмическим делением. Доли могут делиться на две (бинарное ритмическое деление) или три более мелкие части (тернарное ритмическое деление). Если вам кажется, что доля делится на четыре части, такое ритмическое деление также является бинарным. Большие ритмические группы рассматриваются как сумма более малых, например, 5 = 3 + 2 или 5 = 2 + 3. Можно сказать, что доли — это пульс музыки.
От Древней Греции к первым нотам
Первая музыкальная нотация, о которой сохранились какие-либо свидетельства, была придумана народами Плодородного полумесяца. В частности, на табличке, датируемой примерно 2000 годом до н. э., найденной в шумерском городе Ниппур на территории современного Ирака, записано музыкальное произведение в диатоническом строе, состоящее из последовательности терций. Позднее греки разработали собственную музыкальную нотацию, с помощью которой можно было записывать высоту и длительность ноты, но не гармонию. Эпитафия Сейкилоса, написанная между II и I веком н. э., содержит полный музыкальный регистр гимна. Тщательно изучив его, современные исследователи смогли получить примерное представление о том, как звучала композиция.
Различные системы нотации греческого происхождения оказались забыты с падением Римской империи. Лишь в середине IX века для записи григорианских песнопений в Европе появилась новая, невменная система, основанная на слоговой записи латинских стихов. Невмы были примитивными музыкальными символами, указывающими на ноту, соответствующую латинскому слогу. Тем самым с помощью невм приблизительно передавались особенности исполнения песни, но не определялась ни высота звуков, ни ритмический рисунок. Чтобы воспроизвести песню, исполнитель должен был заранее знать мелодию, а указания, записанные в невменной нотации, лишь помогали ему при ее исполнении. Для преодоления этих ограничений невмы дополнялись вспомогательными надписями и располагались на разной высоте. Высота указывалась четырьмя линиями, которые представляли собой прообраз современного нотного стана.
Примерно в середине XIII века на фоне падения авторитета церкви в европейском искусстве роль религии постепенно снижается, заменяясь светскими традициями. До этого музыкальная запись развивалась исключительно в религиозных кругах. Для записи же многоголосой народной музыки требовалась совершенно иная нотация.
В конце XIII — начале XIV века на свет появилась новая, более эффективная форма записи, которую описал француз
Филипп де Витри (1291–1361) в трактате «Новое искусство». В этой книге подробно описывается способ записи ритмического рисунка, возникший в результате необходимости графической записи новой многоголосной музыки, в которой требовалось точно указывать звучание различных голосов.
* * *
ПЕСНЬ О СКОРОТЕЧНОСТИ ЖИЗНИ
Эпитафия Сейкилоса записана на греческом надгробии, которое находится близ города Айдын на территории современной Турции. Полностью эпитафия звучит так: «Я надгробный камень, Сейкилос воздвиг меня здесь в знак его вечной памяти». Далее следует текст музыкального произведения, над которым записан ряд знаков и символов. В переводе на современный греческий язык эпитафия выглядит так:
Текст песни можно перевести следующим образом:
Сверкай, пока живешь,
и не страдай.
Жизнь коротка,
и время возьмет свое.
В современной музыкальной нотации мелодия записывается следующим образом:
СЛОГИ И МЕЛИЗМЫ
В Европе начала XIII века музыка записывалась в виде невм, расположенных поверх четырех параллельных линий. Высота звуков указывалась с помощью музыкальных ключей.
Прекрасный пример сложности невменной нотации — финская книга песнопений Graduate Aboense XIII–XIV веков.
Песни, в которых каждому слогу соответствует одна нота, принадлежат к силлабическому стилю, в отличие от мелизматических, в которых на один слог приходится несколько нот. В невменной нотации восходящая последовательность звуков записывалась в виде близко расположенных квадратов, которые читались снизу вверх. Нисходящий звуковой ряд отображался невмами в форме ромбов, которые читались слева направо. Например, существовало четыре варианта записи слога, пропеваемого тремя нотами:
В поздней невменной нотации использовались символы, которые кажутся нам знакомыми, что ясно указывает на источник происхождения современной музыкальной нотации:
* * *
Перфектум и имперфектум
Книга «Новое искусство» стала революционной во многих смыслах. В ней излагались идеи и предположения, ранее высказываемые другими музыкантами того времени. До появления этой книги в церковной музыке отдавалось предпочтение ритмическому делению на три части, так как число три ассоциировалось со Святой Троицей и считалось совершенным.
В книге Филиппа де Витри была заложена основа музыкальной нотации, с помощью которой можно было записать сложные композиции, сочетающие ритмическое деление на две и три части. Кроме того, предлагаемая нотация устанавливала соотношения между нотами. Французский музыкант и поэт нашел поистине гениальное решение: в придуманной им форме записи ритмическое деление на две и три части записывалось с помощью одних и тех же графем, или нот. В основе его метода лежали три соотношения. Он также создал новую ноту —
миниму в дополнение к уже известным в то время
лонге, бревису и
семибревису. Система де Витри включала три соотношения между нотами:
—
модус: соотношение
лонги и
бревиса;
—
темпус: соотношение
бревиса и
семибревиса;
—
пролация: соотношение
семибревиса и
минимы.
Модус и темпус, в свою очередь, могут быть:
— трехдольными, или «совершенными»;
— двухдольными, или «несовершенными».
Пролация также имела две разновидности:
— малая (при делении на две части);
— большая (при делении на три части).
В следующей таблице приведены соотношения длительностей звуков и соответствующие соотношения между различными фигурами (нотами):
Стоит указать, что деление на две и три части характерно не только для долей, но и для более крупных ритмических групп. Например, такт может состоять из двух или трех долей и называться соответственно двухдольным или трехдольным.
Такт — это понятие, созданное с целью упростить запись ритмов и чтение музыкальной нотации. Такты подчиняются общему принципу: они делят музыкальную композицию на строго равные части.
Такты начинаются с наиболее сильной доли, за которой следует еще одна или несколько более слабых долей. Например, двухдольный такт звучит как РАЗ-два, РАЗ-два, трехдольный — РАЗ-два-три, РАЗ-два-три. В современной нотации размеры тактов обозначаются дробями вида
х/
у, где
х обозначает число нот в такте,
у — вид нот (к примеру, 1 обозначает целую ноту, 2 — половинную, 4 — четвертную и так далее). Подробнее о том, как обозначаются и записываются такты, мы расскажем в следующих главах.
Вернемся к системе Филиппа де Витри. В «Новом искусстве» описывались четко определенные ритмические структуры, отличающиеся друг от друга вариантами сочетания темпуса и пролации с различными видами долей. Обозначались они следующим образом:
— круг с точкой в центре обозначал трехдольный такт с трехдольным ритмическим делением, что эквивалентно современному размеру 9/8;
— круг без точки в центре обозначал трехдольный такт с двухдольным ритмическим делением, что эквивалентно современному размеру 3/4;
— полукруг с точкой внутри обозначал двухдольный такт с трехдольным ритмическим делением, что эквивалентно современному размеру 6/8;
— полукруг без точки обозначал двухдольный такт с двухдольным ритмическим делением, что эквивалентно современному размеру 2/4.
В следующей таблице описываются эти четыре разновидности ритма, приведены обозначения той эпохи и соотношения между различными фигурами. Для темпус перфектум и большой пролации бревис (обозначен квадратом) равен трем семибревисам (ромбам), каждый из которых равен трем минимам (обозначены ромбом с вертикальной чертой):
* * *
ЯВЛЕНИЯ И ИХ ПРЕДСТАВЛЕНИЯ
Подобно тому как математические модели являются отображением реальности, так и музыкальная нотация является графическим представлением физического явления, но не наоборот. Партитура незнакомого произведения дает музыканту лишь приближенное представление о том, что хотел выразить композитор. Достаточно послушать одно и то же произведение в исполнении различных музыкантов, чтобы оценить различия. Нечто подобное происходит, когда мы читаем написанный текст или слышим, как его произносит кто-то другой: когда актер декламирует стихотворение, он наделяет слова необъяснимой экспрессией, и эту магию актерской игры нельзя передать на бумаге. Карта страны — лишь двумерное графическое представление территории. Карта — это не страна, но карта содержит указания, которые помогут путешественнику найти дорогу. Партитура передает технические аспекты исполнения музыки, но ее интерпретация зависит от музыканта. Именно музыкант завершает произведение и наделяет его смыслом.
* * *
Ударные: чистый ритм
На ритм «накладываются» мелодия, лиги, изменения высоты и интенсивности звуков. При игре на ударных, напротив, ритм остается «обнаженным». Он содержит резкие скачки громкости, высоты и тембра звуков, однако при игре на ударных, по сути, возможны только два варианта: удар или его отсутствие. Здесь ритм проявляется во всей безупречности, раскрывает всю свою сущность. Ритм идеально подходит для изучения с точки зрения математики.
При игре на ударных инструментах циклические последовательности звуков характеризуются распределением артикуляций. Будем записывать исключительно артикуляции без учета эха, удлиняющего звуки. Так мы сможем зафиксировать четкую артикуляцию и понять последовательность звуков.
Можно выделить три различных ощущения ритма в зависимости от его быстроты:
— первый уровень, самая быстрая артикуляция, соответствующая ритмическому делению долей. Удары нумеруются начиная с первой доли по порядку: 1, 2, 3 и так далее. Когда начинается новая доля, отсчет возобновляется с единицы;
— второй уровень образуют относительно сильные доли, которые обозначаются цифрой 1;
— на третьем уровне появляются акценты — доли, которые звучат сильнее других.
Ритмическая последовательность размером 9/8 на трех описанных уровнях будет выглядеть так:
Рассмотрим подробнее вторую строку таблицы, где записаны только доли. Заполнив пустые ячейки таблицы нулями, мы получим четкое представление о последовательности долей. Каждая единица означает удар, ноль — паузу. В результате мы получаем чистый ритм.
Доли образуют структуру, лежащую в основе всей музыки подобно тому, как ткань формируется переплетением тонких нитей с нитями основы. Выберем в качестве единицы измерения ударов восьмую ноту, которую укажем как

. Так как ритм образован последовательностью ударов и пауз, будем использовать только восьмые ноты и восьмые паузы. Восьмые паузы обозначим

. Назовем четвертной нотой последовательность из удара и паузы (из восьмой ноты и восьмой паузы). Отметим ее

. И наконец, добавим в нашу нотацию еще один новый символ, так называемую четвертную ноту с точкой,

— для обозначения тех случаев, когда за одной паузой следует другая, то есть последовательность нот и пауз выглядит как

.
По сути, мы рассматриваем двоичную систему, где нотам и паузам присваиваются значения 1 и 0 соответственно. Эквиваленты этих символов для такта размером 4/4 записываются так:
Заметим, что последовательность удар-пауза-удар-пауза повторяется дважды. Двухдольный такт, каждая из долей которого длится одну четвертную ноту с точкой (6/8), будем обозначать так:
Покрытие пространства звуков
В следующей главе мы более подробно проанализируем структуру канонов, а пока ограничимся их ритмическим аспектом, который называется ритмическим каноном.
Одновременное исполнение различных ритмических единиц — серьезная задача для исполнителя, как для солиста, так и для группы. Чтобы познакомиться с тем, что такое ритмический канон, рассмотрим упражнение.
Начнем с ритма

= 3 + 3 + 2= 10010010, который циклически исполняют два музыканта. Второй музыкант начинает играть после первой артикуляции первого исполнителя:
Можно увидеть, что в столбцах таблицы под номерами 3, 6, 11 и так далее (выделены жирным шрифтом) паузы обоих ритмов совпадают. Существуют ритмические рисунки, которые можно исполнить в каноне так, что будут выполняться следующие условия:
1) два музыканта не начинают играть одновременно;
2) паузы ритмических рисунков никогда не накладываются друг на друга.
Эту ситуацию можно сравнить с математической задачей замощения плоскости, в которой требуется покрыть всю плоскость правильными геометрическими фигурами. Однако в нашем случае мы хотим покрыть всю «звуковую плоскость».
Простой ритм, например

= 100100, удовлетворяет приведенным выше условиям. Чем длиннее ритмический рисунок, тем сложнее решить поставленную задачу. Следующая последовательность из 12 ударов
полностью покрывает «звуковую плоскость» так, что при исполнении ее трио с начальным сдвигом в четыре артикуляции паузы полностью отсутствуют:
* * *
ПРОПОСТА И РИСПОСТА
Изначально слово «канон» обозначало свод правил, которыми руководствовались певцы при исполнении песен. Начиная с XVI века этим словом стали обозначать конкретную разновидность композиции, в которой ведущий (также называемый пропоста) исполнял ту же мелодию, что повторяли голоса, вступающие позже (риспосты). Мелодия риспосты могла быть ритмически эквивалентной мелодии ведущего или, напротив, отличаться по сложности. Детская песенка «Братец Якоб» (фр. Frere Jacques) — известный пример канона, в котором имитирующие голоса в точности повторяют основную мелодию без каких-либо изменений.
К преобразованиям имитирующих голосов канона относятся: число имитирующих голосов; интервал ожидания между первым и последующим голосом либо между различными голосами, если они вступают по очереди; темп мелодии, исполняемой имитирующими голосами; инверсия мелодии ведущего; запаздывание мелодии и так далее.
Каноны были очень популярны в церковной музыке. Наивысшего расцвета они достигли в произведениях композиторов позднего Средневековья, например Гийома де Машо, и композиторов эпохи Возрождения, например Жоскена Депре. Однако наиболее ярко технику канона, как и многие другие более сложные техники, использовал Иоганн Себастьян Бах, создавший произведения, по праву называемые каноническими.
Первые такты мессы L'Homme arme super voces musicales («Вооруженный человек») Жоскена Депре, которая начинается с трехголосного канона. Ведущий голос самый медленный, второй исполнитель поет в два раза быстрее него, третий — в три раза быстрее. Линии соединяют первые четыре ноты произведения для каждого из трех голосов.
* * *
С математической точки зрения интерес представляет поиск метода, позволяющего составлять подобные последовательности. В нем должны учитываться следующие параметры:
— общее число артикуляций (
а),
— число голосов (
v),
— смещение голосов (
d).
Чтобы эта задача имела решение, должны выполняться следующие условия:
— число артикуляций
а должно делиться на число голосов и нацело;
— нужно «покрыть»
а артикуляций с помощью
v голосов. Так как все голоса эквивалентны, базовая структура должна состоять из
a/
v «единиц»;
— голоса смещаются относительно друг друга на величину, равную
a/
v. Это гарантирует, что ни в один момент времени не будут дублироваться единицы.
Приведем пример для четырех артикуляций (
а = 4) и двух голосов (
v = 2).
Смещение равно
a/
v = 4/2 = 2 артикуляциям. В нашем примере можно перебрать все возможные варианты. Несложно проверить, какие из них будут удовлетворять требуемым условиям. Возможные ритмические структуры таковы:
1100
1001
Так как эти последовательности будут циклически повторяться, нетрудно видеть, что нули и единицы в обоих случаях будут располагаться одинаково. В первом случае мелодия, исполняемая со смещением в две артикуляции, будет записываться так:
Во втором случае так:
Заметим, что по ходу канона его исполнение в обоих случаях одинаково. Теперь рассмотрим пример с 12 артикуляциями, разделенными на группы с одинаковым временем звучания. Если мы хотим «покрыть» плоскость этими 12 артикуляциями, исполняемыми в 3 голоса, то
то есть необходимы 3 группы по 4 артикуляции.
Возьмем за основу следующую структуру:
0000 0000 0000.
Расположим единицы так, чтобы при наложении на каждой позиции единица встречалась ровно один раз:
1000 0100 0011.
Чтобы избежать удвоенных ударов (несколько единиц в одном столбце) необходимо выполнить смещение на величину
а/
v, которая в нашем случае равняется 4.
* * *
ЗАМОЩЕНИЕ ВСЕЛЕННОЙ
Замощение — это равномерное расположение фигур, покрывающих плоскость. В качестве простого примера можно привести тротуарную плитку или кафель в ванной. При замощении должны отсутствовать пробелы и наложения фигур. Квадрат и правильный шестиугольник — примеры простейших геометрических фигур, покрывающих плоскость. Однако при замощении могут использоваться и неправильные фигуры. В пример можно привести улицы Каира. Схема их замощения представлена на рисунке, справа внизу — соответствующее трехмерное изображение.
* * *
Такт. Метр. Ритмическое деление
Акцент и размер такта
В музыкальных композициях сильные доли чередуются со слабыми. В нотной записи сильные ноты формируют структуру композиции: с каждой сильной доли начинается такт, который длится до следующей сильной доли. Таким образом, такт — это совокупность нот и пауз между соседними сильными долями. Такты равномерного музыкального произведения имеют одинаковую длину и те же свойства. Благодаря этой равномерности достаточно определить параметры такта один раз в начале композиции.
Виды тактов
Доли такта могут делиться на две или три части. Такт обозначается дробью, которая может быть правильной (для простых тактов) и неправильной (для сложных). В числителе дроби отмечается количество долей, в знаменателе — число, означающее длительность долей. Например, целой ноте соответствует единица, половинной — 2, четвертной — 4 и так далее. В простом такте знаменатель указывает относительную длительность ноты такта. В сложном такте знаменатель обозначает используемое ритмическое деление. Чаще всего применяются четвертная нота (она равна восьмой ноте и восьмой паузе; здесь используется ритмическое деление на две части) и четвертная нота с точкой (она равна восьмой ноте и двум паузам подряд; здесь мы видим ритмическое деление на три части).
Рассмотрим несколько примеров. Простой такт из двух долей длительностью в четвертную ноту,

, обозначается дробью 2/4.
Число 2 обозначает количество долей, число 4 указывает, что доля имеет длительность в четвертную ноту. Сложный двухдольный такт будет образован двумя долями длительностью в четвертную ноту с точкой:

Возникает проблема: четвертной ноте с точкой не соответствует ни одно число (ни какая-то другая нота с точкой), поэтому длительность этого такта нельзя выразить в знаменателе дроби. Эта проблема решается так: указывается не длительность такта, а число, соответствующее ритмическому делению доли. В нашем примере четвертная нота с точкой ритмически делится на восьмую ноту и две восьмые паузы. Такт состоит из двух четвертных нот с точкой, следовательно, он будет состоять в сумме из шести восьмых нот и пауз и обозначаться дробью 6/8.
Нотация, которую мы использовали для обозначения чистого ритма, позволяет четко увидеть чередование нот и пауз (единиц и нулей):
При трехдольном ритмическом делении единицы чередуются с двумя нолями:
Наиболее часто используемые такты и соответствующее число долей приведены в таблице:
* * *
ВСЕ ТАКТЫ МИРА
Как вы уже увидели, такт — это совокупность нот и пауз, имеющая определенную длительность. Не принимая во внимание музыкальное значение такта, интересно проанализировать все возможные способы, которыми можно образовать такт из различных ритмических групп.
Рассмотрим небольшую комбинаторную задачу, которая может быть интересна тем, кто занимается музыкой. В этой задаче происходит полный перебор всех возможных ритмических групп и пауз.
Начнем с такта размером 4/4 и расположим на нем четыре ритмические группы, эквивалентные четвертной ноте. Обозначим их А, В, С и D.
Составим из них первый такт:
4/4 |А В С D|
Далее найдем все возможные перестановки.
Шаг 1. Выберем последний элемент такта (в нашем случае это D), который станет основой для первой группы перестановок. Далее поместим D между В и С:
4/4 |А В D С|.
Шаг 2. Расположим этот же элемент D на втором месте, сместив В вправо. Запишем полученный такт:
4/4 |А О В С|.
Шаг 3. Наконец, поместим D на первое место и тем самым сформируем первую группу перестановок:
4/4 |D А В С|.
Далее сформируем все возможные перестановки для полученного такта. Последовательность действий будет аналогичной: выберем элемент, расположенный на четвертом месте (теперь это С), и будем смещать его справа налево, повторяя шаги 1–3:
4/4 |D A B C|D A C B|D C A B|C D A B|.
Повторив эти же действия для В и для А, мы вернемся к исходному такту:
4/4 |C D A B|C D B A|C B D A|B C D A|
4/4 |B C D A|B C A D|B A C D|A B C D|.
С помощью этого алгоритма мы получили все возможные последовательности ритмических групп в заданном такте.
* * *
Неравномерность
В приведенных выше примерах все такты и все доли имеют одинаковую длительность. Однако так происходит не всегда: например, в африканской музыке часто встречаются неравномерные ритмы. Подобные неравномерные ритмы нередки и в академической музыке.
Существует ритмический рисунок, который очень часто встречается в различных музыкальных жанрах Африки и Америки. Его образуют правильные такты из трех долей разной длительности. Это означает, что все такты этого ритмического рисунка имеют одинаковую длительность, но длительность долей внутри тактов различается. Каждый такт состоит из двух долей, разделенных на три части, и одной доли, разделенной на две части. В нашей системе обозначений это записывается двумя долями длительностью в четвертную ноту с точкой и одной долей длительностью в четвертную ноту, как показано на рисунке:
Этот такт состоит из восьми восьмых нот и пауз и совпадает с тактом 4/4. Однако он имеет совершенно иной ритмический рисунок, так как в такте 4/4 содержатся четыре доли, разделенные на две части каждая. Рассматриваемый нами такт, напротив, представляет собой смесь из долей, разделенных на две и три части. Подобную неравномерность обозначают числом частей, на которые делится каждая доля, разделенных знаком
+. В нашем примере такт будет обозначаться
3 + 3 + 2.
Многослойные ритмы
В различных культурах присутствует особая техника игры на ударных — полиритмия. В полиритмии единое сложное и организованное произведение образуется сочетанием различных артикуляций. Полиритмия звучит в высшей степени красиво, поскольку и ритмический, и мелодический рисунок отличаются огромным разнообразием. Это живое искусство, которое можно проанализировать математически.
Ритмы могут полностью совпадать, но быть сдвинутыми друг относительно друга, как при исполнении канона, в котором голоса вступают один за другим спустя определенные промежутки времени. Ритмы также могут быть инвертированными.
Во всех этих случаях результатом будет полиритмия.
El pajarillo, el seis corrido и el seis derecho — три формы полиритмии в музыке хоропо, распространенной на равнинах Венесуэлы и Колумбии. Хоропо отличается разнообразием ритмов, одновременно исполняемых на традиционных музыкальных инструментах — бандолах, арфах, четырехструнных гитарах и маракасах. Одна из особенностей ритма хоропо — параллельное исполнение тактов размером 6/8. Полученный ритм выглядит так:
Еще один пример ритма, чрезвычайно распространенного в латиноамериканской и европейской музыке, — смесь трехдольного и двухдольного деления, которое обычно записывается в виде такта размером 6/8 и такта размером 3/4, исполняющихся одновременно. В виде единиц и нулей этот ритм можно представить так:
Смешанные размеры
Для написания более свободных композиций, а также для записи партитур народной музыки, отличающейся богатым ритмическим рисунком, в XX веке были придуманы новые способы записи ритмов. Так, начали использоваться сочетания тактов различной длительности. Например, часто встречаются группы из семи четвертных нот, которые являются сочетанием тактов размером 3/4 и 4/4 либо трех тактов: размером 2/4, 3/4 и 2/4. В такте из пяти четвертных нот могут объединяться такты размером в 2/4 и 3/4 или наоборот.
Партитура «Концертино для струнного квартета» Игоря Стравинского, на примере которой вы можете оценить огромное разнообразие ритмов, используемых этим великим композитором-новатором XX века.
Скорость: метроном
Исполнить записанную последовательность нот и пауз непросто. Если исполнитель никогда не слышал эту композицию раньше, он сможет приблизительно передать ритм, задуманный композитором, но ему будет не хватать важнейшего параметра — скорости исполнения. Этот параметр указывается в начале партитуры произведения, а также всякий раз, когда изменяется темп произведения. Он обозначается нотой, рядом с которой указывается число. Это число означает, сколько раз в минуту должна уложиться нота указанной длительности. Так, обозначение
означает, что в минуту исполняется 60 долей. В этом случае для определения скорости исполнения достаточно обычных часов, так как исполняется ровно одна доля в секунду. В других случаях используется прибор, равномерно отсчитывающий доли в заданном ритме, — метроном. Механический метроном представляет собой маятник, частота колебаний которого изменяется посредством смещения противовеса.
Чем выше частота колебаний маятника, тем больше тактовых долей воспроизводится в минуту. Начинающие музыканты используют метроном, когда учатся выдерживать одинаковую скорость игры. Метроном также помогает композиторам определить скорость исполнения музыкального произведения. Первым, кто использовал метроном для задания скорости исполнения, был Людвиг ван Бетховен.
Хотя метроном является объективным средством измерения скорости, его недостатком оказывается излишняя строгость: при исполнении музыкальных произведений строгий и четкий ритм часто ускоряется, что естественно. Живительно, но метроном нередко используется в качестве ударного инструмента, как, например, в известной песне
Blackbird группы
The Beatles из альбома White Album. Выдающийся композитор Эннио Морриконе, автор музыки для множества фильмов, использовал искаженные и замедленные звуки метронома в композиции Farewell to Cheyenne в музыке из фильма «Однажды на Диком Западе».
Исключительный случай использования метронома в качестве музыкального инструмента принадлежит венгерскому композитору Дьёрдю Лигети, который в произведении «Симфоническая поэма для 100 метрономов» (1962) одновременно использует 100 этих приборов. Произведение завершается, когда заканчивается завод последнего метронома.
* * *
МУЗЫКАЛЬНЫЕ ЧАСЫ
Механический метроном изобрел немец Дитрих Винкель в 1812 году, но первый патент на этот прибор принадлежит его соотечественнику Иоганну Мельцелю. Сейчас используются электронные метрономы, но изначально их изготовлением занимались часовщики. Классический метроном содержит часовой механизм и перевернутый маятник, состоящий из стержня и противовеса, который можно перемещать по всей его длине. В нем находятся два противовеса, по одному с каждой стороны от центра колебаний: один внешний, с переменным положением, второй внутренний, с фиксированным положением. Чем ближе противовес к центру колебаний, тем выше темп, отмеряемый метрономом, чем дальше от центра, тем медленнее будет темп. На каждое колебание маятника внутренний механизм метронома издает щелчок. Некоторые метрономы можно настроить так, что они будут издавать особый звук на каждые две, три или четыре доли. В настоящее время используются электронные метрономы, которые содержат камертон, настроенный на частоту 440 Гц.
ЗАДАЧА, КОТОРУЮ НЕ СМОГ РЕШИТЬ ЭЙНШТЕЙН
Физик Альберт Эйнштейн, создатель теории относительности, увлекался игрой на скрипке, хотя добился на этом поприще куда более скромных успехов, чем в физике. Как-то раз он репетировал сонату вместе с выдающимся пианистом Артуром Шнабелем. Эйнштейн раз за разом пропускал такт, и Шнабелю раз за разом приходилось задерживаться. Когда Эйнштейн ошибся в третий раз, Шнабель огорченно посмотрел на него и язвительно спросил: «Альберт, неужели вы никогда не научитесь считать до трех?»
* * *
Изолированная неравномерность
Иногда среди равномерного ритма (например, состоящего из долей с ритмическим делением на две части) необходимо точно сыграть несколько долей, разделенных на три части. Подобная смена ритма будет означать, что потребуется смена темпа и такта. Чтобы избежать неоднозначности при записи этой неравномерности (и при восстановлении равномерного ритма), используются дуоли, триоли и так далее.
—
Дуоль: ритмическая фигура из двух нот, равная по времени звучания трем нотам:
—
Триоль: ритмическая фигура из трех нот, равная по времени звучания двум нотам:
Дуоли и триоли обозначаются дугой поверх группы нот, под которой указывается число, соответствующее новому числу нот. Рассмотрим пример сложного ритма, в котором меняется темп и размер такта:
Аналогичная упрощенная запись, в которой используются триоли, будет выглядеть так:
* * *
ДРОБНЫЕ ЧИСЛА ДЛЯ ОБОЗНАЧЕНИЯ ТАКТОВ
Интересно сравнить дроби, которыми отмечаются такты, с обычными дробными числами и операциями над ними. Какие операции над дробями, обозначающими такты, совпадают с операциями над дробными числами?
— Сложение дробей. Например, такт размером 3/4 имеет длительность половинной ноты с точкой, что равнозначно половинной ноте (обозначаемой символом
и четвертной:
Если заменить обозначения нот соответствующими дробями, получим:
3/4 = 1/2 + 1/4.
— Сокращение дробей. Если сократить дробь, обозначающую такт, полученная дробь будет обозначать новый такт:
6/8 = 3/4.
В этом случае математическое равенство не означает равенство с точки зрения музыки. Длительность обоих тактов будет одинаковой и равной длительности шести восьмых нот (для такта 3/4 — длительности трех четвертных нот, каждая из которых равна двум восьмым).
Однако обозначение 6/8 соответствует сложному метру, а 3/4 — простому, что указывает на важное отличие.
— Наименьшее общее кратное. При полиритмии интерес представляют моменты, когда двухдольный и трехдольный ритм будут накладываться друг на друга на одной доле или на одном такте. Например, в одном такте исполняются две восьмых доли, а другой голос одновременно исполняет триоль из трех восьмых нот:
В этом случае каждый ритм можно исполнить двумя способами, но нужно выбрать какой-то один. Сделать выбор поможет математика: для этого потребуется вычислить наименьшее общее кратное. В нашем примере НОК (2,3) — 6. Это означает, что нужно мысленно разделить такт на шесть равных частей. Восьмые ноты будут исполняться на счет 1 и 4, а триоль — на счет 1,3 и 5.
* * *
Современная нотация
Развитие музыкальной нотации как системы символов на протяжении нескольких веков привело к тому, что она стала удивительно эффективной. В ней сочетаются переменные (ноты и паузы) и постоянные элементы (ритм, ключи, такты), располагающиеся поверх основы (нотного стана). Рассмотрим конкретный пример.
Скорость исполнения мелодии постоянна:

= 60
Такты состоят из четвертных нот, на две слабые доли приходится одна сильная, поэтому такты имеют размер 3/4. На следующем рисунке представлена последовательность долей и акцентов, как если бы партитура представляла собой систему координат, в которой на оси абсцисс откладывается время в секундах.
Акценты располагаются равномерно с интервалом в три секунды. Доли выстроены также равномерно с интервалом в одну секунду. Читать подобный график крайне неудобно. Для записи ритма требуются ключи, которые позволили бы упростить запись. Для этого в начале партитуры один раз указываются все постоянные значения: темп, акценты и, наконец, размер такта в уже известной вам системе обозначений (в нашем примере размер такта равен 3/4). Способ указания на темп вы тоже уже знаете:

= 60.
Сохраняя горизонтальное расположение символов слева направо, подобно тому как располагаются символы на письме в западных языках, мы можем добавить к записи вертикальные линии в конце каждого такта. Это позволяет упростить нотацию:
Так как доли исполняются равномерно и в записи присутствуют вертикальные линии, промежутки между нотами необязательно должны строго соответствовать длительности пауз между ними.
Отсутствие масштаба
Расположение элементов партитуры по горизонтали не соответствует какому-то конкретному масштабу. Это означает, что длительность нот и пауз необязательно зависит от длительности промежутков между нотами на партитуре. Артикуляция выполняется в соответствии с длительностью, которую указывают нота или пауза, а не в зависимости от того, насколько близко расположена следующая нота.
Два такта, изображенные на рисунке, одинаковы:
Однако важно помнить, что при записи двух или более голосов рекомендуется выравнивать по вертикали ноты, исполняемые одновременно, чтобы упростить чтение партитуры. Так, графическое представление трех одновременно исполняемых ритмических фраз будет выглядеть следующим образом:
Глава 3
Геометрия композиции
Кувшин придает форму пустоте, музыка — молчанию.
Жорж Брак
Меня обвиняют в том, что я математик. Но я не математик, я геометр.
Арнольд Шёнберг
Объекты природы имеют подчас очень любопытную форму. При внимательном математическом анализе становится понятно, что растения, животные, кристаллические структуры и звуки подчиняются законам алгебры и геометрии. В природе часто встречаются сферы, циклы, спирали, равно как и симметрия. Художники находят вдохновение в причудливых формах природы и выстраивают свои произведения в новом порядке, подчиняющемся законам эстетики.
Музыка создает образы в представлении слушателей. Мелодии обычно сравнивают с рисунками из точек и линий. Мы уподобляем многие свойства музыки свойствам реальных предметов в пространстве: высокие звуки представляются нам узкими и вытянутыми вверх, низкие, напротив, невысокими и широкими. Подобные представления отчасти отражаются в партитурах. Например, последовательность звуков, высота которых непрерывно возрастает, называется восходящей.
Благодаря этому партитура приобретает дополнительную ценность, так как идея композитора дополняется изображениями, подобно тому как текст книги дополняется иллюстрациями. Это принимали во внимание многие композиторы, когда создавали свои шедевры. История музыки знает немало примеров партитур, в которых слились воедино музыка, письмо и геометрия. (Чтобы вы смогли лучше понять примеры, приводимые в этой главе, советуем сначала ознакомиться с основными элементами современной музыкальной нотации, о которых рассказывается в приложении I.)
Высота и ритм: музыкальная плоскость
Элементы нотной записи
Современная система нотной записи — результат эволюционного процесса, целью которого было найти способ зафиксировать мимолетное искусство на бумаге. С течением времени нотная запись дополнялась новыми символами, изменялись существующие. Интересно проанализировать знаки и символы нотной записи с точки зрения математики и логики.
Нотный стан
Музыка записывается на бумаге с помощью нотного стана, который можно считать графиком изменения высоты звуков с течением времени. Нотный стан можно представить как систему координат, на горизонтальной оси которой обозначается время, на вертикальной — высота нот. Высота обозначается с помощью равноудаленных друг от друга параллельных прямых. В современной нотации используется пять прямых.
Музыкальное «расстояние» между двумя соседними линиями (или между соседними промежутками между линиями) равно интервалу в одну терцию. Линию и ближайший к ней промежуток разделяет интервал в одну секунду. Таким образом определяются пять линий и четыре промежутка между ними, которые нумеруются снизу вверх:
Линии и промежутки соответствуют белым клавишам пианино, а расположение нотопределяется частотой соответствующих звуков. Так, звуки высокой частоты (высокие звуки) располагаются на верхних линиях нотного стана. Для обозначения более низких звуков используются добавочные линии; соответственно, образуются дополнительные промежутки между ними. Так, дополнительными промежутками являются свободные места над 5-й и под 1-й линиями.
Если мы представим партитуру как систему координат на «музыкальной плоскости», то увидим, что на оси ординат указывается высота звуков.
На оси абсцисс, в свою очередь, откладывается длительность звуков и пауз. На пример, три звука, исполняемые последовательно в моменты времени 1, 2 и 3, изображаются так:
Если эти же три звука исполняются одновременно, то они будут изображаться так:
Подведем итог. Звуки, расположенные на одной линии нотного стана (или на одном промежутке между ними) имеют одинаковую высоту (частоту). Звуки, расположенные вертикально друг под другом, исполняются одновременно.
Ноты
Длительность звуков обозначается с помощью нот. Составными частями ноты являются головка — небольшой овал белого или черного цвета, и штиль — вертикальная часть ноты. Штиль соединяет головку и небольшую изогнутую линию, так называемый флажок. Флажок может отсутствовать.
Последовательность нот в порядке убывания длительности выглядит так: целая, половинная, четвертная, восьмая, шестнадцатая, тридцать вторая и шестьдесят четвертая. Базовой нотой является целая, ее длительность обозначается числом 1. Длительность каждой последующей ноты обозначается числом, в два раза меньшим, чем длительность предыдущей. Следующая нота после целой — половинная, длительность которой в два раза меньше. Это означает, что за время, которое исполняется целая нота, можно исполнить две половинных. За время исполнения половинной ноты могут прозвучать две четвертные. Аналогичное соотношение сохраняется и между остальными нотами:
Функции нот и их свойства подробно рассматриваются в приложении I, в разделе «Музыка и символы музыкальной нотации».
Определение высоты
Высота звука (тон) обозначается положением головки ноты на линии нотного стана или в промежутке между линиями.
Однако этой информации недостаточно. Чтобы узнать абсолютную высоту звуков, нужен ключ.
Ключи
Из предыдущей главы вы знаете, что для определения скорости и ритма в начале партитуры указывается темп метронома и размер такта. В начале нотного стана также располагается ключ, который однозначно определяет высоту звуков.
Чаще всего используется ключ
соль. Если этот ключ изображен в начале нотного стана так, как показано на рисунке, это означает, что все ноты, головка которых располагается на второй линии, соответствуют ноте
соль.
Положение остальных нот уже известного вам музыкального строя будет таким: в первом промежутке между линиями будет располагаться нота
фа, на первой линии —
ми и так далее. Во втором промежутке будет находиться
ля, на третьей линии —
си, в третьем промежутке —
до и так далее. Линия, определяющая ноту соль, проходит ровно через центральную точку, с которой рисуется ключ.
Также используется ключ
фа в форме спирали. Он задает положение ноты
фа на линии, где находится центральная точка спирали. Сверху и снизу от этой линии изображаются точки:
Ключ
до — симметричный знак, осью симметрии которого является линия, соответствующая ноте
до:
В зависимости от положения ключа изменяется высота звуков, соответствующих линиям и промежуткам нотного стана. Так, нота, изображенная в одном и том же месте нотного стана, будет звучать по-разному в зависимости от того, какой ключ используется.

* * *
СИММЕТРИЧНОСТЬ КЛАВИШ ПИАНИНО
Клавиши пианино имеют две оси симметрии: первая проходит по центру белой клавиши ре, вторая — по центру черной клавиши соль-диез. Так сложилось, что в европейской записи (ABCDEFG) в центре расположена нота D (ре), остальные шесть располагаются по обе стороны от соответствующей оси симметрии.
Теперь посмотрим, как располагаются тона и полутона гамм. Мажорной гаммой называется звукоряд из семи звуков, отделенных друг от друга следующей последовательностью тонов (Т) и полутонов (nТ):
Т-Т-nТ-Т-Т-nТ.
Мажорная гамма, в которой используются только белые клавиши, начинается с ноты до:
до, ре, ми, фа, соль, ля, си.
Минорной гаммой называется звукоряд из семи звуков, отделенных друг от друга следующей последовательностью тонов (Т) и полутонов (nТ):
Т-nТ-Т-Т-nТ-Т.
Минорная гамма, в которой используются только белые клавиши, начинается с ноты ля:
ля, си, до, ре, ми, фа, соль.
Именно в таком порядке расположены ноты вокруг клавиши ре, через которую проходит ось симметрии. Несложно заметить, что тона и полутона располагаются симметрично:
Между нотой соль и следующей нотой ля находится вторая ось симметрии. Очевидно, что интервалы будут симметричны также и относительно этой оси. Взглянув на расположение белых и черных клавиш пианино, можно заметить, что оси симметрии клавиш и тонов и полутонов соотносятся между собой. Так как мы используем равномерно темперированный строй из 12 равных полутонов, то в качестве центральной можно выбрать любую ноту, а остальные ноты будут располагаться симметрично по обе стороны от нее. В рассматриваемом нами случае к симметрии тонов и полутонов добавляется симметричное расположение клавиш пианино.
* * *
Посмотрим, как один и тот же звук (центральное
до) изображается с помощью трех разных ключей:
На рисунке на предыдущей странице показано, как с помощью различных ключей изменяется значение ноты, расположенной в заданной позиции нотного стана. На этом рисунке показано, как один и тот же звук изображается с помощью трех разных ключей.
Изменение полутонов
Иногда необходимо изменить высоту отдельной ноты. Существует два знака, обозначающих повышение или понижение высоты звука на полутон: знак
# (диез) означает повышение на один полутон, знак

(бемоль) — понижение на один полутон. Существует третий знак, который отменяет действие диеза или бемоля для той ноты, перед которой он стоит. Этот знак называется бекар (

).
Эти знаки располагаются на линии или промежутке между линиями нотного стана и изменяют все звуки, находящиеся справа от них до конца такта. Если знак диеза, бемоля или бекара указан в начале партитуры (между ключом и числовым обозначением размера такта), это означает, что будут изменены все ноты, находящиеся на одной линии с этим знаком.
Мелодическая кривая
Когда мы слушаем музыку, даже если мы не разбираемся в музыкальной нотации, мы часто представляем себе кривую или ломаную линию, состоящую из восходящих и нисходящих частей. Весьма вероятно, что эта кривая «движется» слева направо, в том же направлении, как и буквы на письме. Некоторые мелодии представляются нам в виде плавных кривых без больших перепадов, другие, напротив, имеют ярко выраженные перепады высот. Интересно, что эти линии в некотором роде соответствуют расположению нот на нотном стане. Рассмотрим пример партитуры и соединим головки нот непрерывной кривой, как в известной детской игре, где нужно соединять точки линиями:
Плавная мелодия и соответствующая ей кривая.
Если бы мы могли услышать мелодию, записанную в этой партитуре, то заметили бы, что она не имеет резких перепадов. Если для мелодии характерны резкие изменения высоты звуков, то ей будет соответствовать линия с резкими перепадами высоты, подобная той, что показана на рисунке:
Мелодия со значительными перепадами высоты звуков.
Геометрическо-музыкальные преобразования
В гештальтпсихологии (термин «гештальт» не имеет однозначного перевода и может означать «форма», «структура» или «очертание») считается, что разум человека способен выбирать и группировать части целого, а также упорядочивать их, выделяя среди остальных. Этот процесс развивается во времени благодаря тому, что мы обладаем памятью, за счет чего способны видеть движение предметов при быстрой смене кадров и воспринимать музыкальные композиции. Предметом изучения гештальтпсихологии являются процессы восприятия. Были сформулированы определенные принципы, характерные для этих процессов. Согласно принципу замкнутости, наше восприятие имеет тенденцию завершать незамкнутые фигуры. Так, изображения, содержащие неполную информацию, например пейзажи импрессионистов, состоящие из множества разноцветных точек, с определенного расстояния кажутся реалистичными и правдоподобными. Это же происходит, когда мы смотрим кино: непрерывное движение, которое мы видим на экране, не более чем иллюзия, вызванная особенностями нашего восприятия. Законы гештальта применимы и в музыке. Они позволяют слушателю выявлять похожие звуки и мелодический рисунок, подобно тому как зритель кинофильма распознает похожие образы.
Многие композиторы при создании своих произведений умышленно использовали принципы и приемы геометрии. В некоторых случаях они наглядно проявляются при взгляде на партитуру, в других — находят непосредственное воплощение в звуках. Некоторые композиции имеют структуру, обладающую интересными геометрическими свойствами. Таковы, например, каноны. Сама их форма серьезно влияет на мелодию, из-за чего создание таких произведений становится вдвойне сложнее. Композитор не просто должен создать красивую мелодию — последовательность звуков должна подчиняться строгим математическим правилам. В некоторых композициях в качестве художественных приемов специально используются геометрические преобразования.
В этом разделе мы сравним различные геометрические преобразования и определенные сочетания звуков. Важно не забывать о фундаментальном различии: два измерения на плоскости имеют одинаковую размерность, два измерения нотного стана (высота звуков и время) — нет. Из-за этого музыкальные преобразования совершаются в разных измерениях по отдельности.
Также можно применять преобразования к нотам как к геометрическим фигурам на плоскости, но результаты этих преобразований не всегда будут различимы для слушателя.
Важно помнить, что преобразования применяются к кривой, соединяющей головки нот. Рассмотрим пример мелодии из четырех нот. Соединив ноты линиями, получим следующее изображение:
Применим к этой ломаной линии геометрическое преобразование:
и восстановим головки и штили всех нот:
Геометрическо-музыкальные преобразования — еще одно средство, которое может использовать композитор, но применять его следует аккуратно и разумно.
Изометрические преобразования
«Изометрический» означает «сохраняющий расстояние». Существует три различных изометрических преобразования на плоскости: перенос, отражение и поворот. Они находят соответствие в различных символах нотной записи. Если рассматривать преобразования высоты звуков и их длительности отдельно, то число возможных их видов возрастет. В следующей таблице вкратце перечислены все возможные преобразования такого типа:
При комбинировании некоторых из этих преобразований число возможных вариантов возрастает еще больше:
Переносы
Перенос — это геометрическое преобразование, при котором все точки фигуры перемещаются в заданном направлении на одно и то же расстояние, при этом форма фигуры не изменяется. В нашем случае достаточно рассмотреть горизонтальный и вертикальный перенос. Они показаны на рисунке справа.
Горизонтальный перенос: повторение и канон
Горизонтальный перенос применительно к партитуре обозначает перенос во времени и может выражаться двумя способами:
—
Повторение. Мелодия или ее фрагмент исполняются несколько раз подряд, один за другим:
O —> O —> O —> O —> O —> O —> O —> O
При простейшем горизонтальном переносе мотив повторяется, продолжая прежнюю мелодическую линию.
—
Канон. Как вы уже знаете из предыдущей главы, канон — это музыкальное произведение, в котором мелодия исполняется несколькими голосами, вступающими один после другого через некоторый промежуток времени.
Рассмотрим в качестве примера очень известный канон — французскую детскую песенку «Братец Якоб». Если мы будем считать исходной мелодией первые четыре восьмых ноты песенки, то увидим, что она повторяется (используется перенос). После того как сыграны первые ноты мелодии, она продолжается в следующих тактах, а также начинается исполнение копии исходной мелодии (на рисунке далее исходная мелодия и ее копия изображены на разных нотных станах). Далее обе мелодии (оригинал и смещенная копия) исполняются параллельно, смещение между ними не меняется. Рассмотрим первые четыре такта:
При горизонтальном переносе изменяется момент времени, в который исполняется нота. При вертикальном переносе нота сдвигается вверх или вниз по партитуре. Такой перенос называется транспозицией.
* * *
КОЛЫБЕЛЬНАЯ ДЛЯ ВСЕХ
Происхоедение мелодии и текста песенки «Братец Якоб» точно неизвестно. Предположительно она была впервые записана в конце XVIII века под названием «Братец Блез». Однако некоторые исследователи указывают на явную схожесть этой песенки с произведением Джироламо Фрескобальди, написанном в 1615 году. Есть версия, что ее текст («Frére Jacques, fr£re Jacques // Dormez-vous? Dormez-vous? // Sonnez les matines! Sonnez les matines!», что можно перевести как «Братец Якоб, братец Якоб! // Ты не спишь? Ты не спишь? // Слышишь колокольчик? Слышишь колокольчик? // Динь-динь-динь! Динь-динь-динь!») — насмешка над протестантами, иудеями или над самим Мартином Лютером. Кто-то считает, что песенка содержит упрек в адрес монахов-якобинцев: во Франции многие считали, что они ведут праздную жизнь. Эта колыбельная, переведенная на множество языков, распространена настолько широко, что, согласно недавно проведенному опросу, китайские школьники считают ее китайской народной.
* * *
Вертикальный перенос: транспозиция
Изометрический перенос нот вдоль вертикальной оси называется транспозицией. В результате транспозиции получается та же мелодия, но более высокая или более низкая в зависимости от направления переноса:
Транспозиция мелодии заслуживает более подробного рассмотрения. В вышеприведенном примере показана простейшая транспозиция мелодии.
В следующих примерах, взятых из различных стилей, продемонстрированы некоторые наиболее характерные способы использования переноса в музыкальных композициях. В 14-й сонате, известной как Лунная соната,
Людвиг ван Бетховен (1770–1827) использовал в качестве основы произведения арпеджио из трех нот.
Риффы в рок-музыке — это короткие и ритмичные мелодии, как правило, исполняемые на гитаре, которые обычно повторяются несколько раз подряд. В песне (
I Can’t Get No)
Satisfaction группы
Rolling Stones звучит один из самых известных риффов всех времен.
Многократное повторение мелодической фигуры (как в двух предыдущих примерах) называется остинато.
В качестве примера такого повторения в каноне рассмотрим произведение величайшего автора канонов —
Иоганна Себастьяна Баха (1685–1750). Бах использовал этот формальный прием поистине гениальным образом. Его мастерство было столь высоко, что он часто преподносил в подарок небольшие каноны, специально написанные по случаю торжества. Мы рассмотрим его «Канон ре мажор BWV 1075» — небольшое музыкальное произведение из восьми тактов, исполняемое в два голоса, смещенных относительно друг друга на два такта. Структура композиции такова, что она может повторяться бесконечно:
Ниже представлена партитура канона.
Автором, возможно, одного из самых известных канонов всех времен является немецкий композитор
Иоганн Пахельбель (1653–1706). Его «Канон в ре мажор» стал особенно известен после того, как прозвучал в фильме «Обыкновенные люди» (1980). Это произведение написано одновременно в форме канона и чаконы, поэтому в нем используются обе разновидности горизонтального переноса.
Чакона — это композиция, в которой неизменная тема повторяется в басу, а остальные голоса варьируются, накладываясь поверх нее. В каноне Пахельбеля вариации исполняются тремя верхними голосами канона. Поверх циклически повторяющегося ритма (который также использовался в разное время во множестве других произведений) плавно, без резких скачков, звучит основная мелодия произведения, непрестанно изменяясь от спокойной, меланхоличной до радостной и оживленной.
Также стоит упомянуть павану, соч. 50 французского композитора
Габриэля Форе (1845–1924), в начале которой исходный мотив дважды исполняется (1-й такт и половина 2-го такта) виолончелями, виолами и вторыми скрипками.
Знаменитая Симфония № 5 до минор, соч. 67
Людвига ван Бетховена (1770–1827) — еще один пример диагонального переноса, в котором сочетаются вертикальный и горизонтальный переносы. Для верхнего голоса (выделен на партитуре, приведенной ниже) повторяется одна и та же мелодическая фигура, которая с каждым разом транспонируется все выше.
Отражения
Отражение — это преобразование, которое заменяет фигуру ее зеркальным отражением. Результатом отражения фигуры является ее хиральная копия, то есть такая фигура, которую нельзя совместить с исходной с помощью поворотов (представьте, например, отражение в зеркале человека с повязкой на правом глазу).
Чтобы вернуться к исходной фигуре, необходимо выполнить двойное отражение, то есть отразить отраженную фигуру еще раз. Мы рассмотрим два вида отражений: относительно горизонтальной и относительно вертикальной оси. Комбинация отражений относительно вертикальной и горизонтальной оси является поворотом на 180°, что показано на рисунке:
Если применить отражение к партитуре, получатся новые композиции: инвертированные и ракоходные.
Отражение относительно вертикальной оси: ракоход
В этом случае мелодия записывается заново, начиная с последней ноты, так что ноты исходной мелодии идут в обратном порядке:
Исполнение исходной и ракоходной мелодии подряд — это так называемая мелодическая симметрия, которую также можно назвать мелодическим палиндромом.
Очень известный пример подобной симметрии — «Аллилуйя» из оратории «Мессия»
Георга Фридриха Генделя (1685–1759).
Аналогичную симметрию можно увидеть в начале известной композиции
I've got Rhythm гениального американского композитора
Джорджа Гершвина (1898–1937):
* * *
АМБИГРАММЫ
Симметрия цифр и букв проявляется в словах-палиндромах и числах-палиндромах. Менее известны амбиграммы — слова, написанные так, что при определенном преобразовании (отражении, повороте и т. д.) получается это же или другое слово. На рисунке изображена амбиграмма «Моцарт», автором которой является американец Скоп Ким.

* * *
Отражение относительно горизонтальной оси: инверсия
Рассмотрим инверсию простой мелодии, отраженной горизонтально относительно оси, проходящей через линию
ре:
Из следующего рисунка сразу же становится понятно, что при одновременном исполнении двух этих мелодий на пианино нужно нажимать клавиши, симметричные относительно клавиши
ре:
Габриэль Форе в своем
Messe basse: Agnus Dei в качестве основного приема использует отражение относительно горизонтальной оси. Две первые восьмые ноты начальных тактов отражаются, завершая такт:
В этом фрагменте из Струнного квартета соль минор, соч. 10 французского композитора
Клода Дебюсси (1862–1918) первая скрипка и виола в каждый момент времени исполняют противоположные ноты:
В припеве
Samba de Uma Nota Só («Самбы одной ноты») бразильского композитора
Антонио Карлоса Жобина (1927–1994) второй такт получается из первого поворотом на 180°:
Двадцать четыре каприса для скрипки, написанные итальянским скрипачом и композитором
Никколо Паганини (1782–1840), вдохновили многих композиторов на создание различных вариаций, самыми известными из которых являются композиции
Сергея Рахманинова (1873–1943). В частности, Рахманинов написал мелодию, симметричную капрису № 24:
В некоторых случаях, как, например, в шестой из «Шести мелодий в унисон» из цикла фортепианных пьес «Микрокосмос»
Белы Бартока (1881–1943) наблюдается симметрия звуков по высоте, но не по длительности. Ось симметрии проходит через первую ноту (
до) второго нотоносца, выделенную пунктирной линией.
В последнем примере партитура для каждой руки симметрична относительно начальной ноты
си-бемоль:
Повороты
Напомним, что поворот на 180° эквивалентен ракоходной инверсии. Применительно к музыке имеет смысл рассматривать только поворот на 180°, так как поворот на 90° не будет иметь смысла, что показано на следующем рисунке:
Точно так же, как и в геометрии, поворот на 180° можно представить как двойную инверсию: по горизонтали и по вертикали:
Гений
Вольфганга Амадея Моцарта (1756–1791) проявился особенно ярко в не самом известном его произведении. Это канон для двух скрипок, состоящий из двух мелодий, повернутых друг относительно друга на 180°. Если мы представим поворот как двойное отражение, то увидим, что Моцарт неспроста расположил горизонтальную ось симметрии на линии
си: благодаря этому композицию можно записать на одном нотном стане и на одной мелодической линии. При исполнении этого произведения музыканты становятся лицом друг к другу, расположив партитуру между собой. Оба смогут прочитать партитуру благодаря тому, что ключ
соль расположен и в начале, и в конце нотного стана. Таким образом, при инверсии страницы нота
соль становится нотой
ре, ля — до и так далее. Единственной неизменной нотой остается
си:
В «Зеркале» Моцарта два скрипача могут читать одну и ту же партитуру в противоположных направлениях, находясь друг напротив друга.
Австрийский композитор
Антон Веберн (1883–1945) — одна из ключевых фигур в додекафонической музыке — основном направлении академической музыки начала XX века. В своем Струнном квартете, соч. 28 Веберн определяет исходную серию звуков, на которой затем устанавливаются интервалы. В этом произведении можно увидеть основную мелодию, ее инверсию и ракоход. Кроме того, в центре расположена ось симметрии, отделяющая исходную фигуру от ее ракоходной инверсии.
Ряд из 12 звуков Струнного квартета, ор. 28 Антона Веберна. Числа обозначают число полутонов в каждом интервале. Стрелки указывают, восходящим или нисходящим является данный интервал.
Комбинации преобразований
Вышеперечисленные преобразования причудливым образом сочетаются во множестве музыкальных произведений разных эпох. Они образуют широкий спектр музыкальных средств, которые отличаются огромным разнообразием, так как может изменяться расположение оси симметрии при отражении, расстояние в интервалах при вертикальном переносе и смещение при горизонтальном переносе, например смещение голосов канона.
Изначальная идея канона — имитация одного голоса с помощью последующего голоса или голосов — была дополнена другими видами имитации, в которых оригинальными способами применялись симметрия и ракоходы.
Горизонтальный и вертикальный перенос: интервальные каноны
Из определения канона следует, что второй голос горизонтально смещен относительно первого. Если к этому горизонтальному смещению добавить вертикальный перенос, то получится так называемый интервальный канон, в котором второй голос начинается не с той же ноты, что ведущий голос. Это приводит к изменению тонов и полутонов. Такое изменение называется тональным ответом. Расстояние, на которое смещен второй голос относительно первого, можно использовать в качестве признака классификации канонов. Так, оба голоса могут вступать в унисон (одновременно), второй может быть смещен на секунду, терцию и так далее.
Вертикальный перенос и отражение относительно вертикальной оси: ракоходный перенос
При такой комбинации преобразований исходная мелодия транспонируется, а затем заменяется ракоходом.
Вертикальный перенос и отражение относительно горизонтальной оси: инвертированная транспозиция
Для выполнения этой комбинации преобразований необходима транспозиция мелодии на новую начальную ноту с последующим инвертированием мелодии. Однако эти два преобразования можно свести к одному путем правильного выбора оси симметрии.
На этом примере показана комбинация вертикального переноса со смещением относительно горизонтальной оси (соответствует линии ноты си).
Тот же результат, что и на предыдущей иллюстрации, но полученный одним преобразованием — отражением относительно оси, соответствующей ноте соль.
В хорале «Агнец» (
The Lamb) современного английского композитора Джона Тавенера, написавшего его для своего трехлетнего племянника, сочетаются некоторые из вышеописанных преобразований. Это произведение обладает множественной симметрией: исходная мелодия первого такта повторяется во втором (горизонтальный перенос), одновременно с этим вступает второй голос, который представляет собой инверсию исходной мелодии, полученную симметричным отображением относительно горизонтальной оси. Ось симметрии соответствует ноте
соль. Третий такт содержит новую мелодию, в четвертом такте происходит ракоход этой мелодии (ее симметричное отражение относительно вертикальной оси). В пятом и шестом тактах повторяется мелодия третьего и четвертого тактов, которую дополняет второй голос — симметрично отображенная относительно горизонтальной оси мелодия пятого и шестого тактов. Следовательно, мелодия шестого такта для второго голоса — это поворот четвертого такта основного голоса на 180°.
Хотя интервалы между любыми двумя нотами мелодии строго соблюдаются, из эстетических соображений композитор изменил длительность последней ноты каждой музыкальной фразы. Однако это не нарушает симметрию, так как мелодическая линия, которую мысленно рисует композитор, зависит от порядка исполнения звуков, а не от диезов и бемолей.
* * *
ПЕЧАТЬ БАХА
Иоганн Себастьян Бах создал собственную идеально симметричную печать. В ней сочетаются три символа: корона, символизирующая Бога, инициалы композитора — JSB, и их зеркальное отображение. Сочетание симметрично отраженной J и исходной буквы S образует греческую букву
. Эта буква обозначает крест и является первой буквой в имени Христа, записанном по-гречески. Аналогичная симметрия затем используется еще два раза.

* * *
В
Canon Concordia Discors, BWV 1086 Иоганна Себастьяна Баха имитация основной мелодии является инверсией, ось симметрии проходит по линии ноты
ми. Если бы мы захотели «классифицировать» это произведение, то сказали бы, что в нем используется отражение относительно горизонтальной оси в сочетании с переносом (канон).
Еще одной особенностью некоторых сочинений Баха является использование шифров в их музыкальной записи. В каноне, имеющем номер 1073 по каталогу BWV, Бах записал на нотном стане всего одну мелодию, однако поместил в начало партитуры не один, а четыре ключа. Каждый ключ определяет записанные ноты по-разному; таким образом, мелодия переобозначается для каждого ключа. По порядку записи ключей мелодия начинается с ноты
до, затем с ноты
соль, далее с
ре и, наконец, с
ля. Именно на эти четыре ноты настроены струны виолы — одного из любимых инструментов Баха.
Переписав партитуру для стандартных ключей соль и фа и начав каждый голос с позиции, указанной композитором, можно восстановить полную нотную запись канона.

* * *
КОРОЛЕВСКАЯ ТЕМА
В 1740 году Карл Филипп Эммануил Бах (1714–1788), второй из пяти сыновей Иоганна Себастьяна Баха, стал членом королевского двора Фридриха II Великого, короля Пруссии. Во дворце ежедневно давались концерты камерной музыки. Король был меломаном, композитором и играл на флейте. Ему стало известно об искусстве Баха, и он захотел познакомиться с ним. После долгих уговоров Карлу удалось добиться согласия отца. Он посетил Потсдам, где располагался королевский дворец, и по просьбе короля попробовал сыграть на всех фортепиано Зильбермана, которые находились в залах дворца. Желая показать свои способности, Бах попросил короля сымпровизировать и сыграть мелодию, на основе которой хотел написать фугу. Бах уехал в Лейпциг и в благодарность за радушный прием сочинил «Музыкальное приношение», взяв за основу мелодию, придуманную королем. Этот цикл произведений, в котором композитор демонстрирует свои удивительные способности, был завершен спустя два месяца после встречи с королем и состоит из двух ричеркаров (старинное название фуги), десяти канонов и одной сонаты. В рукописи Бах озаглавил первый ричеркар Regis lussu Cantio Et Reliqua Canonica Arte Resoluta, что означает «Данная повелением короля тема и прочее, исполненное в каноническом роде». Эта фраза содержит игру слов — акростих: если записать слова фразы одно под другим, первые буквы образуют слово RICERCAR — «РИЧЕРКАР».
Портрет Карла Филиппа Эммануила Баха. Внизу — партитура темы короля Фридриха II Великого.

* * *
Преобразования, изменяющие размеры
Три вида преобразований, которые мы рассмотрели (перенос, отражение и поворот), являются изометрическими, то есть сохраняют исходные размеры музыкальных фигур и расстояния между ними.
Также существует неизометрическое преобразование, которое применяется в музыке. Оно называется масштабирование. Масштабирование увеличивает или уменьшает один из линейных размеров фигуры. При этом преобразовании соотношение сторон фигуры может как сохраняться неизменным, так и изменяться. Если мы хотим применить это преобразование в музыкальной нотации, необходимо четко различать два «измерения» музыкальной плоскости.
Горизонтальное масштабирование
Наиболее наглядными примерами этого преобразования являются сжатие и растяжение вдоль временной оси. Чтобы произвести такое преобразование и, следовательно, изменить скорость, с которой исполняется произведение, необходимо изменить темп метронома:
Изменение скорости путем изменения темпа метронома.
Однако порой интереснее изменить скорость исполнения мелодии, сохраняя темп метронома неизменным. Для этого ноты заменяются эквивалентными нотами меньшей длительности:
«Немецкий реквием» Иоганнеса Брамса
Немецкий композитор
Иоганнес Брамс (1833–1897), представитель романтизма, использовал масштабирование в своем знаменитом «Немецком реквиеме». В первых тактах соло (линия партитуры с подписью
soprano solo) мелодия сопрано образована восьмыми нотами. Теноры повторяют эту же мелодию, но длительность нот удваивается: восьмые ноты заменяются четвертными, четвертные — половинными и так далее. В результате сопрано исполняет мелодию в два раза быстрее, чем теноры (tenors на партитуре):
Puttin' on the Ritz
Автором этой известной мелодии является американский композитор
Ирвинг Берлин (1888–1989) — «величайший песенный композитор всех времен», по словам его соотечественника Джорджа Гершвина. Эту песню, которая впервые прозвучала в 1929 году, впоследствии исполняли Бенни Гудмен, Фред Астер и другие известные певцы. Текст песни довольно прост, но, несмотря на это, она отличается запутанной ритмикой. В мелодии четыре раза повторяется очень простая фигура из четырех нот, но эти четыре повторения занимают не четыре такта, а чуть больше трех, за счет чего образуется неравномерный ритм:
Берлину удалось достичь этого удивительного эффекта за счет «сжатия» нот. На следующей иллюстрации можно видеть, как четыре ноты, сгруппированные в фигуры и обозначенные кругами под номерами от 1 до 4, следуют друг за другом. Стрелкой обозначена граница такта.
Вертикальное масштабирование
Что происходит при вертикальном масштабировании? Это преобразование — самое необычное из рассмотренных нами. Его сложнее всего выполнить и весьма непросто услышать в музыкальной композиции. При вертикальном масштабировании все интервалы пропорционально расширяются. В первом примере интервалами мелодии являются две терции. Во втором примере терции преобразуются в квинты.
Подобное повторение расширенной мелодической кривой исходной мелодии иногда может давать пародийный эффект. Известный пример вертикального мас штабирования связывает между собой Баха и Джона Кейджа и упоминается в классической научно-популярной книге «Гедель, Эшер, Бах» американского автора
Дугласа Хофштадтера (р. 1945).
Если использовать латинскую систему, в которой ноты обозначаются буквами от
А до
G, то с помощью масштабирования можно превратить тему
ВАСН («Бах») в
CAGE («Кейдж»).
Интервалы темы
BACH: —1|+3 |—1.
Умножив эти интервалы на 3, получим —3 |+9 |—3, что почти совпадает с темой
CAGE, интервалы которой равны —3 |+10 |—3.
Гармоническая симметрия
Симметричные аккорды
Одна октава состоит из 12 полутонов. Эти 12 полутонов можно разделить на симметричные аккорды всего двумя способами: в первом случае аккорды из 3 нот будут разделены 4 полутонами, во втором случае аккорды из 4 нот будут разделены 3 полутонами.
В первом случае образуется аккорд увеличенной квинты, состоящей из двух больших терций, во втором — аккорд уменьшенной септимы. Благодаря своей симметричности этот аккорд занял очень важное место в истории музыки, так как его можно «прочитать» многими способами одновременно.
Симметричные звукоряды
В своей книге «Техника моего музыкального языка» французский композитор
Оливье Мессиан (1908–1992) приводит классификацию звукорядов, которые он называет ладами ограниченной транспозиции. В этих звукорядах, ступени которых образуют полную октаву, интервалы, разделяющие ноты, распределяются симметрично. Такие звукоряды основаны на хроматической системе из 12 звуков и состоят из различных симметричных групп. После определения звукоряда он последовательно транспонируется до тех пор, пока при транспозиции не образуется звукоряд, в котором будут полностью повторяться ноты исходной группы.
Первый лад в классификации Мессиана называется ладом с целыми тонами:
В этом ладу допускается всего два варианта: первый начинается с
до, второй — с
до-диез. В ладу, который начинается с
ре, повторяются ноты исходного лада.
Второй лад — уменьшенный октатонический звукоряд, в котором чередуются полутона и целые тона. Этот лад делится на четыре группы по три ноты и допускает три транспозиции.
Третий лад образован последовательностями тон — полутон — полутон, состоит из трех групп по четыре звука и допускает четыре транспозиции.
Порядок интервалов в четвертом ладу таков: полутон — полутон — полтора тона (3 полутона) — полутон, шесть транспозиций.
Пятый лад образует две симметричные группы из четырех звуков: полутон — два тона — полутон и допускает шесть транспозиций.
Шестой лад состоит из двух групп по шесть звуков (тон — тон — полутон — полутон) и допускает шесть транспозиций.
Седьмой лад состоит из двух групп по шесть звуков (полутон — полутон — полутон — тон — полутон) и допускает шесть транспозиций.
Математика музыкальной формы
Симметрия наблюдается не только в музыкальных фразах и мотивах. Более сложные музыкальные структуры также могут обладать интересными математическими свойствами.
В формальном анализе музыкальных произведений изучается «музыкальная плоскость» — иными словами, составные части произведения и взаимосвязи между ними. Так как «музыкальную плоскость» можно изображать с разной степенью точности, в зависимости от «масштаба» можно получить общее представление, не содержащее нюансов, либо, напротив, в подробностях увидеть все детали, но не все произведение в целом.
ABCDE…
Рассмотрим музыкальные произведения издалека. Мы увидим крупные структуры, которые будем обозначать заглавными латинскими буквами. Здесь в качестве структурных элементов композиции мы будем рассматривать повторяющиеся или изменяющиеся фрагменты произведения. Композицию, в которой полностью повторяется единственная группа, будем обозначать так:
Такие композиции обладают простой симметрией. Произведение, состоящее из двух полностью различных групп, напротив, не обладает какой-либо симметрией:
Существуют ли произведения, симметричные с формальной точки зрения? Да, такие произведения существуют, более того, они встречаются очень часто. Примером может служить скерцо («игра») — произведение, которое обычно является частью другого, более крупного произведения, например симфонии. В качестве примера можно привести скерцо из Девятой симфонии Бетховена или скерцо из Симфонии № 4 Чайковского. По своей сути скерцо имеет вид
АВ. Иногда после исполнения второй части первая повторяется заново, и композиция принимает вид:
Это простейшая симметричная фигура. Части этой композиции могут повторяться и далее, образуя различные симметричные структуры:
Также существуют сложные формы, состоящие из трех частей, каждая из которых также делится на три части. В результате образуются более крупные симметричные структуры:
Некоторые короткие произведения, например вальс ор. 34 № 1
Фредерика Шопена (1810–1849), обладают еще более широкой симметрией:
Чем длиннее произведение, тем меньше вероятность наличия подобной симметрии. «Музыкальное приношение» Баха обладает формальной симметрией следующего вида:
Месса си минор Баха
Иоганн Себастьян Бах, самый изобретательный композитор всех времен, использовал в своих произведениях структуры, обладающие символическими и математическими свойствами. Его Месса си минор (Высокая месса) BWV 232, состоит из 27 частей, объединенных в четыре группы:
Kyrie, Gloria, Credo и финальную, включающую в числе прочих части
Sanctus, Hosanna, Benedictus и Agnus Dei. Композитор хотел изобразить Святую Троицу как в музыке, так и в числах.
Число 3 обозначает Святую Троицу. Общее число частей произведения (27), а также число частей в каждой группе (3 + 9 + 9 + 6) делится на три. Две центральных группы (
Gloria и
Credo) имеют симметричную структуру. Центр симметрии Gloria расположен в хоре
Domine Deus («Господи Боже»). Центр симметрии
Credo — в
Crucifixus («Распятье»):
—Kyrie
Kyrie eleison (№ 1).
Christe eleison.
Kyrie eleison (№ 2).
—Gloria
Gloria in excelsis Deo.
Et in terra pax.
Laudamus te.
Gratias agimus tibi.
Domine Deus. <—
Qui tollis peccata mundi.
Qui sedes ad dexteram Patris.
Quoniam tu solus sanctus.
Cum Sancto Spiritu.
—Credo
Credo in unum Deum.
Patrem omnipotentem.
Et in unum Dominum.
Et incarnatus est.
Crucifixus. <—
Et resurrexit.
Et in Spiritum Sanctum.
Confiteor.
Et expecto.
—Sanctus, Hosanna, Benedictus, Agnus Dei
Sanctus.
Hosanna.
Benedictus.
Hosanna (da capo).
Agnus Dei.
Dona nobis pacem.
В частности, три центральных элемента группы Credo рассказывают о жизни Христа, начиная от воплощения (
Et incarnatus est) до воскрешения (
Et resurrexit), центральная часть повествует о распятии (
Crucifixus).
* * *
МУЗЫКАЛЬНЫЕ КРИПТОГРАММЫ
Криптограмма — сообщение, которое нельзя прочитать, не зная ключа шифра. Это сообщение может быть спрятано внутри рисунка, в тексте или посреди беспорядочно расположенных цифр и букв. Музыкальная криптограмма — это произведение, в котором зашифрован текст. Чтобы прочитать его, необходимо всего лишь записать обозначения всех его нот. Многие композиторы создавали произведения, следуя такой системе. Наиболее известной музыкальной криптограммой, вне всякого сомнения, является В-А-С-Н, в которой используется классическая немецкая нотация. В этой нотации си-бемоль обозначается буквой В, ля — буквой А, до — буквой С, си — буквой Н.
Другими известными криптограммами являются:
— ABEGG в честь Meta Abegg в «Вариациях на тему Abegg» Роберта Шумана;
— CAGE в честь Джона Кейджа. Этот мотив использовала Полина Оливейрос;
— GADE в честь Нильса Гаде. Этот мотив использовал Роберт Шуман.
Антон Веберн в своем Струнном квартете, соч. 28 использовал четыре ноты В-А-С-Н и два геометрических преобразования, с помощью которых превратил эти четыре ноты в восемь.
Австрийский композитор Альбан Берг (1885–1935) в своей опере «Воццек» отдает дань уважения трем ведущим представителям венской школы, зашифровав текст в партитуре для каждого инструмента:
— пианино: Арнольд Шёнберг (ADSCHBEG);
— скрипка: Антон Веберн (АЕВЕ);
— труба: Альбан Берг (ABABEG).
* * *
Золотое сечение и музыка
Итальянский математик Леонардо Пизанский, известный как
Фибоначчи (ок. 1170 — ок. 1250), был одним из тех, кто ввел в употребление арабские цифры в Европе. В своей «Книге абака» он изложил задачу:
«Пусть в огороженном месте имеется пара кроликов (самка и самец) в первый день января. Эта пара кроликов производит новую пару кроликов в первый день февраля и затем в первый день каждого следующего месяца. Каждая новорожденная пара кроликов становится зрелой уже через месяц и затем каждый месяц дает жизнь новой паре кроликов. Возникает вопрос: сколько пар кроликов будет в огороженном месте через год, то есть через 12 месяцев с начала размножения?»
Ответ на эту интересную задачу таков:
— В первые два месяца имеется всего одна пара кроликов,
А.
— В третьем месяце родится
В, первая пара — потомок
А.
— В четвертом месяцев родится
С, вторая пара — потомок
А.
— В пятом месяце родится
D, третья пара — потомок
А, и
Е, первая пара — потомок
В.
Численность кроликов в последующие месяцы будет описываться последовательностью 1, 1, 2, 3, 5, 8, 13, 21, 34, 55, 89, 144… Эта последовательность чисел известна как числа Фибоначчи. Если мы поделим каждый член этой последовательности на предыдущий, получим:
На схеме показан рост численности кроликов. Белыми точками обозначены пары молодых кроликов, черными — взрослых кроликов, способных давать потомство.
Отношения членов ряда Фибоначчи стремятся к числу 1,618033989…, известному как золотое сечение, или божественная пропорция. Числа Фибоначчи часто встречаются в природе: например, ими описывается число семечек в спиралях подсолнуха, расположение ветвей растений, спирали раковин моллюсков и так далее.
Отрезки пятиконечной звезды — пентаграммы, которая используется во многих культурах, также скрывают в себе золотое сечение. Справа — схема расположения семян подсолнечника. Число спиралей в обе стороны выражается числами Фибоначчи.
Золотое сечение используется и в музыке. Некоторые произведения Моцарта и Бетховена разделены своей высшей точкой, моментом максимального напряжения на части, длительность которых подчиняется золотому сечению. Наиболее вероятно, что и Моцарт, и Бетховен получили этот результат интуитивно, стремясь придать своей музыке равновесие. В творчестве композитора Белы Бартока числа Фибоначчи встречаются столь часто, что это нельзя объяснить случайным совпадением. Так, в первой фуге его произведения «Музыка для струнных, ударных и челесты» 89 тактов, исполняемых ударными и челестой, делятся на части длиной в 55 и 34 такта. Разделение этих частей на более мелкие также описывается числами Фибоначчи: первая часть делится на 34 и 21 такт, вторая — на 13 и 21. Третья часть этого же произведения, исполняемая в темпе адажио, начинается с ритмической последовательности, в которой на ксилофоне исполняется одна и та же нота
фа 1, 1, 2, 3, 5, 8, 5, 3, 2, 1 и 1 раз. Струнный квартет № 4 его же авторства состоит из 2584 долей — это 18-е число Фибоначчи.
Числа Фибоначчи также описывают модели интервалов, использованные Бартоком, среди которых встречаются интервалы из 2, 3, 5, 8 и 13 полутонов.
Некоторые композиции Дебюсси также подчиняются правилу золотого сечения или описываются числами Фибоначчи. Начало «Диалога ветра с морем» в его произведении «Море» состоит из 55 тактов, которые делятся на группы по 21, 8, 8, 5 и 13 тактов. «Золотой» такт номер 34 отмечен нотой, исполняемой на трубе.
Хотя подобный анализ может действительно иметь отношение к реальности, к нему стоить подходить умеренно. Нередко слушатель, который заранее знает, что в произведении используется золотое сечение, начинает «слышать», что произведение звучит по-особому.
* * *
МЕРА КРАСОТЫ
Творчество состоит в поиске формы: художник объединяет большое и малое, сочетает напряженные и смягченные моменты, прямые и кривые, высокие и низкие звуки. В результате достигается некое стабильное или нестабильное равновесие. Эстетическое удовольствие, которое получает зритель от результата творчества, является в высшей степени субъективным. Существует ли хотя бы приблизительный объективный критерий красоты? Золотое сечение, возможно, самый известный пример объективной меры красоты, однако предпринимались и другие попытки найти подобные критерии. В их существовании был убежден американский математик Джордж Биркхоф (1884–1944). Изучив различные виды искусства, в начале 1930-х годов он опубликовал работы A Mathematical Theory of Aesthetics («Математическая теория эстетики») и Aesthetic Measure («Эстетическая мера»). В них рассматривались скульптура, музыка и поэзия. Он определил величину, названную им эстетической мерой, которая зависела от двух параметров: эстетического порядка (O) и сложности (С):
M = O/C
Эстетический порядок определяется регулярностью расположения элементов, составляющих произведение искусства, сложность является численной оценкой присутствия этих элементов. Биркхоф первым признал, что для получения репрезентативных результатов следовало изучать не произведение в целом, а лишь некоторые его характеристики, например отдельные аккорды ритма и гармонический контекст в музыке. Биркхоф посвятил музыке три главы своей книги, в которых проанализировал аккорды, гармонию, мелодию и контрапункт. Вне зависимости оттого, насколько эффективна предложенная им система, интересно заметить, что, согласно уравнению Биркхофа, чем меньше сложность, тем больше красота. Иными словами, между красотой и простотой существует прямая зависимость.
* * *
Глава 4
Биты и волны
Музыка — арифметика звуков, подобно тому как оптика — геометрия света.
Клод Дебюсси
Мы предлагаем читателю подробнее познакомиться с различными параметрами звуков и глубже изучить их природу. Если мы хотим рассматривать звук не как художественное, а как физическое явление, то нам потребуются математические инструменты. Мы совершим путешествие в микромир и изучим потоки электронов в электрических цепях, чтобы понять, как передается звуковая информация.
Физика звука
Благодаря особенностям нашего слуха мы можем различать высоту звуков, которая связана с частотой колебаний. Звук является результатом колебаний некоторого твердого тела, будь то металл, дерево, кожа. Звук также может образовываться в результате колебаний воздуха, воды или голосовых связок. Эти колебания распространяются от источника к ближайшим частицам.
Вне зависимости от источника звука волна в конечном итоге распространяется по воздуху и достигает наших ушей. Распространение волны вызвано чередованием областей сжатия и разрежения воздуха. Именно эти чередования наши уши воспринимают как звук. Если области сжатия и разрежения чередуются равномерно, то звуковые колебания называются гармоническими. Скорость, с которой чередуются области сжатия и разрежения, называется частотой. Частота равняется числу колебаний в секунду и измеряется в герцах. Чем больше частота колебаний, тем выше звук.
При распространении звуковых колебаний среда изначально находится в состоянии покоя, затем постепенно достигается максимальная амплитуда колебаний (
А), после чего среда снова стремится к состоянию покоя, из которого снова набирает максимальную амплитуду (—
А). При возвращении в состояние покоя завершается полный цикл (
λ). В этой точке угол наклона касательной к кривой равен углу ее наклона в начальной точке. С точки зрения математики звуковые колебания описываются синусоидальной функцией:
Каждый аргумент этой функции определяет какой-либо параметр звука: высоту, интенсивность или тембр. Высота определяется частотой колебаний. Низким частотам соответствуют низкие звуки, высоким — высокие.
Высота звука пропорциональна его частоте.
Спектр частот, различаемых ухом, индивидуален для каждого человека и зависит от возраста, но, как правило, он охватывает 11 октав:
«Интенсивность», то есть звуковая энергия, переносимая звуковой волной за единицу времени, зависит от амплитуды звуковых колебаний: чем выше громкость, тем больше амплитуда волны. Интересно, что нижний порог слышимости соответствует звуковому давлению в 2·10
-4 бар, а болевой порог соответствует давлению в 200 бар.
Интенсивность звука пропорциональна амплитуде звуковой волны.
Единица измерения громкости звука — бел, хотя на практике используется децибел (дБ), равный одной десятой части бела. При определении этой величины учитывалось, что интенсивность ощущения звука человеком пропорциональна не интенсивности звука, а его логарифму. Иными словами, при относительно высокой интенсивности звука неприятные ощущения нарастают со все большей скоростью. Шкала интенсивности звука начинается с 0 дБ (порога слышимости) и заканчивается 120 или 140 дБ — болевым порогом. В следующей таблице приведены некоторые примеры физических явлений и соответствующей им интенсивности звука:
* * *
ТРЕХМЕРНЫЕ ВОЛНЫ
Чтобы лучше понять природу звука, интересно рассмотреть различные виды волн. Существуют одномерные волны, которые распространяются вдоль прямой линии. Другие распространяются на поверхности и являются двумерными. К таким волнам относятся колебания, возникающие при падении камня на поверхность воды. Фронт этих волн представляет собой концентрические окружности, в центре которых расположен источник звука. Звуковые волны относятся к третьему виду — трехмерным волнам. Фронтом звуковой волны является сферическая поверхность. Хотя звуковые волны описываются синусоидальными кривыми, звук распространяется в трехмерном пространстве. Интенсивность звука — это энергия потока, проходящего через поверхность единичной площади. Так как речь идет о ряде концентрических сфер, интенсивность рассчитывается по следующей формуле:
I = P/S
где I — интенсивность, Р — энергия, S — площадь поверхности. Так как S = 4π2, то интенсивность звука обратно пропорциональна квадрату расстояния до его источника.
* * *
Наконец, тембр определяет «индивидуальность» звука. Так, мы узнаем именно тембр голоса определенного человека. Тембр также позволяет различать звуки одинаковой интенсивности и высоты, извлекаемые из разных инструментов. Какова же физическая природа тембра? Чтобы ответить на этот вопрос, необходимо подробнее изучить природу звука.
Чистые и настоящие тона
График синусоидальной функции соответствует чистым звуковым колебаниям, которые не так часто встречаются в реальном мире. Примерами чистых звуков являются звуки камертона, свист, а также звук трения мокрого пальца о стекло.
Однако звук гитарной струны, колокола или флейты образуется основными колебаниями вкупе со множеством волн меньшей интенсивности и большей частоты. Эти волны называются обертонами. Любой звук, который не является чистым, состоит из множества одновременно звучащих звуков. В основе анализа отдельных обертонов каждого звука лежат открытия, совершенные французским математиком
Жаном Батистом Жозефом Фурье (1768–1830), который доказал, что любую периодическую несинусоидальную волну можно разложить в ряд синусоидальных волн.
Звуковую волну можно представить как совокупность волн ее отдельных обертонов и волны основного звука. Этот кажущийся хаос в действительности представляет собой строго упорядоченную систему. В зависимости от структуры материала источника звука, окружающей среды, резонаторов и других факторов формируются обертоны основного тона, частоты которых непосредственно связаны с частотой основного звука. При анализе и оценке обертоны упорядочиваются и нумеруются в порядке возрастания частоты. В целом можно говорить, что с ростом частоты звука увеличивается его интенсивность. Однако интенсивность обертонов определяется множеством факторов, среди которых форма источника звука, форма полостей в нем, материал, из которого он изготовлен, и многие другие параметры. Сочетание этих параметров определяет, какие обертоны будут иметь большую интенсивность, какие — меньшую. Таким образом, многообразие возможных значений параметров порождает различные тембры, наделяющие звук особым звучанием.
Звук, издаваемый инструментом, обладает следующими четырьмя характеристиками, связанными с распространением звуковых волн:
—
атака — время от начала игры на инструменте до момента, когда звук достигает наибольшей высоты;
—
спад — временной интервал от точки наибольшей высоты до момента стабилизации звука;
—
задержка — время, в течение которого извлечение звука продолжается, а его высота остается неизменной;
—
затухание — время, в течение которого высота звука падает после того, как было прекращено извлечение звука.
График, соответствующий извлечению звука постоянной частоты.
Суперпозиция волн
При построении графика звуковой волны образуется кривая, которая получается наложением друг на друга отдельных волн, соответствующих основному звуку и его обертонам. Рассмотрим простой пример наложения волн для двух звуков одинаковой частоты, но разной высоты. Если фазы звуковых колебаний совпадают, амплитуда звуковых колебаний увеличивается:
Напротив, если колебания находятся в противофазе, то амплитуда звуковых колебаний уменьшается:
Каким образом эта особенность проявляется на практике? Не углубляясь в подробности, скажем, что этот эффект можно наблюдать в концертных залах: многочисленный хор звучит заметно громче, чем ансамбль из четырех или восьми исполнителей, а струнный оркестр — громче, чем струнный квартет.
В более сложных случаях, например, когда звук издается музыкальным инструментом, звуковая волна будет несинусоидальной, так как она будет состоять из множества отдельных волн. Благодаря преобразованию Фурье при анализе периодических волн можно определить частоту каждой составляющей.
Функция обертонов
Обертоны, выражающиеся степенями двойки (2, 4, 8, …), соответствуют октавам основного звука и усиливают его интенсивность. Обертоны, выражающиеся числами, кратными 3 (3, 6, 12, …), соотносятся с цепочкой квинт. Присутствие таких обертонов приводит к появлению назализованного тембра. Обертоны, выражающиеся числами ряда 5, 10, 20, …, соответствуют терциям основного звука и придают звуку теплоту. Наконец, обертоны, соответствующие диссонирующим интервалам, добавляют звуку шероховатость.
Синтез звука
Первые попытки сконструировать электрический орган были предприняты свыше 100 лет назад. Пионерами в этом направлении были американец
Таддеус Кэхилл (1867–1934), который в 1900 году придумал телармониум; русский ученый
Лев Термен (1896–1993), который в 1924 году изобрел инструмент, носящий его имя, — терменвокс, и француз
Морис Мартено (1898–1980), усилиями которого в 1928 году свет увидел инструмент «волны Мартено». Эти открытия дали начало новому направлению развития технологий. Работы по созданию электронных музыкальных инструментов достигли пика после Второй мировой войны. В XX веке технологические открытия в области звука позволили глубоко изучить его природу и особенности, а также открыть эффективные способы синтеза звуков.
Для синтеза звука первым делом нужно его сгенерировать. Для этого используются два способа: в первом применяются отдельные источники для каждого из 12 звуков верхней октавы, во втором генерируется лишь самый высокий звук этой октавы, а оставшиеся 11 полутонов получаются путем электронных преобразований. После того как сформированы звуки верхней октавы, частоты звуков остальных октав получаются с помощью электронных делителей частоты делением частоты на 2.
Итак, базовый звук создан. Теперь можно изменять его различные параметры, что позволит добиться нужного звучания. Это ключевой момент: поискам синтетических звуков, максимально приближенных к реальным, сопутствует желание создавать совершенно новые, неповторимые звуки. Успехи в синтезе звуков, достигнутые в последнее время, охватывают различные аспекты. Некоторые заслуживают упоминания. Таковы, в частности, фильтры и усилители, которые обрабатывают обертоны и тем самым позволяют изменять тембр звука, сгенерированного осциллятором. Если звук не богат обертонами, его обогащают с помощью усилителей, генерирующих обертоны, частоты которых кратны частоте основного тона. Также применяются фильтры, позволяющие ограничить или подавить составляющие определенной частоты. Комбинирование обертонов используется для создания определенного тембра, что позволяет имитировать, например, звук трубы, скрипки или любого другого музыкального инструмента. Чаще всего используются следующие фильтры:
— фильтр нижних частот, подавляющий высокие частоты;
— фильтр верхних частот, подавляющий низкие частоты;
— полосовой фильтр, пропускающий частоты из определенного интервала;
— полосно-заграждающий фильтр, не пропускающий частоты в определенном интервале.
Цифровое аудио
Все звуки, которые мы слышим в повседневной жизни, попадают в наши уши в виде волн, распространяющихся в воздухе, воде и других звукопроводящих средах. С момента изобретения фонографа Томасом Эдисоном в 1877 году были созданы различные аналоговые средства хранения и воспроизведения звука.
В аналоговых системах звук должен быть преобразован в последовательность электрических сигналов с помощью преобразователя, например микрофона. Эти сигналы, которые в конечном итоге будут фиксироваться и впоследствии воспроизводиться, могут быть преобразованы в звуковые волны с помощью другого преобразователя, например репродуктора.
* * *
«У МЭРИ БЫЛ БАРАШЕК» ИЛИ «В СВЕТЕ ЛУНЫ»?
До 2008 года первой в истории записью человеческого голоса считалась сделанная самим Томасом Эдисоном, который 21 ноября 1877 года прочитал стихотворение Mary had a little lamb («У Мэри был барашек») для проверки изобретенного им фонографа. Спустя несколько дней он впервые продемонстрировал свое изобретение на публике. Через год он запатентовал его и представил Французской академии наук. Члены Академии были настолько поражены увиденным, что сначала посчитали фонограф подделкой и заподозрили, что в зале сидит чревовещатель. Звуковые колебания записывались на оловянной фольге, обернутой поверх цилиндрического валика, который вращался вокруг своей оси. Позднее вместо олова стал использоваться воск. Звук записывался на фольге в виде спиралевидных дорожек, которые затем считывались и снова преобразовывались в звук.
Изначально фонограф использовался в качестве диктофона на предприятиях и в правительственных учреждениях. Сам Эдисон никогда не думал, что его изобретение будет широко использоваться для записи и воспроизведения музыки, и сначала даже запретил применять фонограф подобным образом. Однако музыкальный цилиндр распространился по всему миру, и в 1890-е годы ему на смену пришли плоские диски.
За 20 лет до первой записи Эдисона француз Эдуар Леон Скоп изобрел фоноавтограф, который мог записывать звуковые колебания, но не воспроизводил их. Записи фоноавтографа хранились в Библиотеке Конгресса США. В 2008 году группе исследователей удалось воспроизвести эти записи, датируемые 1860 годом. Они услышали известную французскую песню Au claire de la Lune («В свете луны») — первую в истории запись звука.
* * *
Аналогово-цифровое преобразование
Аналогово-цифровое преобразование выполняется посредством импульсно- кодовой модуляции сигналов (англ. РСМ —
Pulse-Code Modulation) аналогово-цифровым преобразователем (англ. ADC —
Analog-to-Digital Converter). Аналоговый звуковой сигнал легко представить в виде кривой, которую можно описать численно.
Аналогово-цифровое преобразование заключается в дискретизации этой кривой: сигнал замеряется с заданной частотой и разбивается на множество одинаковых интервалов. Чем больше число интервалов, тем ближе к исходному будет записанный и воспроизводимый сигнал и тем выше качество записанного звука. Это же происходит и в кино: чем больше кадров демонстрируется в секунду, тем плавнее выглядят движения на экране. Можно привести и другой пример: чем больше точек, лежащих на кривой, нам известно, тем точнее мы сможем восстановить исходную кривую.
Чем больше число измерений (вертикальных линий) звука, тем ближе к исходной кривой будет ее представление в виде прямоугольников сетки.
По теореме Найквиста — Шеннона (в русскоязычной литературе теорема Котельникова) при определенных условиях аналоговый сигнал с максимальной частотой
М может быть восстановлен однозначно и без потерь, если количество измерений в секунду превышает 2
М. Так как максимальная частота, которую необходимо зафиксировать, равняется 20000 Гц (это порог слышимости звука человеком), частота дискретизации при записи музыки на CD равна 44100 раз в секунду — эта величина несколько больше удвоенной максимальной частоты звука.
Существует и другой фактор, влияющий на точность преобразования, — глубина кодирования звука. Графически измерения при дискретизации можно представить в виде линий определенной высоты, длину которых нужно измерить. Это измерение может выполняться с различной точностью: чем больше бит используется для записи измеренной величины, тем выше будет точность измерения.
Чем подробнее измерения (иными словами, чем выше плотность горизонтальных линий), тем ближе к исходной кривой будет ее представление в виде прямоугольников сетки.
Возврат к аналоговому сигналу
Цифро-аналоговый преобразователь (англ. DAC —
Digital-to-Analog Converter) отвечает за преобразование цифрового аудио в аналоговый сигнал. Происходит преобразование, обратное аналогово-цифровому: нам известно определенное число точек на кривой, и мы хотим восстановить ее с помощью интерполяции — математического метода, позволяющего определить промежуточные значения между уже известными. Первой моделью интерполяции стала экстраполяция нулевого порядка, которая заключается в том, что значение во всех точках интервала считается одинаковым. Другим методом является экстраполяция первого порядка, при котором кривая аппроксимируется ломаной линией, соединяющей известные значения.
Слева — интерполяция нулевого порядка. При восстановлении значений на интервале предполагается, что они неизменны и принимаются равными левой границе интервала. Участок кривой аппроксимируется горизонтальной линией.
Справа — интерполяция первого порядка. Значения на интервале аппроксимируются прямой, соединяющей границы интервала.
* * *
БЕТХОВЕН, БАЙРОЙТ, НАЦИЗМ И РОЖДЕНИЕ CD
В 1980-е годы технология производства компакт-дисков была достаточно совершенной для выхода на массовый рынок. Лидерами аудиорынка и рынка электроники в то время были две компании: голландская Philips и японская Sony. Sony представила прототип компакт-диска диаметром 120 мм, на который можно было записать 74 минуты звучания. В свою очередь Philips разработала прототип диаметром 115 мм, на которой можно было записать 60 минут звука. Предпочтение было отдано прототипу Sony. Так был определен стандарт, который использовался повсеместно в течение следующих 30 лет.
Привлекает внимание нестандартная емкость CD, вмещающего запись длиной не более 74 минут. Почему было выбрано именно это число? В свое время Sony указывала среди преимуществ своего прототипа возможность записи на одном диске величайших шедевров мировой музыки, в частности Девятой симфонии Бетховена. Этот стандарт предложил президент компании Sony Норио Оrа, который до этого был дирижером. Меломаны сходятся во мнении, что образцовой записью этого великого произведения является запись оркестра под управлением Вильгельма Фуртвенглера, сделанная в 1951 году на первом после окончания Второй мировой войны Байройтском фестивале.
На этом фестивале, ежегодно проходившем в немецком городе Байройт, с 1876 года исполнялись оперы Рихарда Вагнера. Так как его наследники симпатизировали нацистам, перед войной фестиваль стал символом агрессивного и воинственного пангерманизма. Повторное открытие фестиваля, которое ждали во всей Германии, считалось поворотным моментом в истории нации, остро чувствовавшей свою вину. Эмоциональная Девятая симфония, оканчивающаяся бессмертной «Одой к радости», ознаменовала присоединение Германии к цивилизованным странам. Трагическая страница в истории страны была перевернута. В этот исторический момент оркестр под управлением Фуртвенглера продемонстрировал высочайший уровень исполнительского мастерства, и потрясенная публика несколько секунд пребывала в молчании, прежде чем разразиться овациями, которые не утихали в течение часа. Разумеется, аплодисменты не вошли в запись концерта, и Девятая симфония Бетховена в исполнении оркестра под управлением Фуртвенглера в Байройте сохранилась для потомков в записи продолжительностью ровно 74 минуты.
Памятная марка, выпущенная по случаю смерти Вильгельма Фуртвенглера в 1954 году.
* * *
Сжатие звука
«
Сырой» звук
Звуковая волна графически изображается на временной оси. Чтобы изобразить этот график на бумаге, нам потребуется лист, длина которого будет прямо пропорциональна длительности звука:
Иными словами, звуковая информация передается с фиксированной скоростью. Аналоговые звуковые системы работают с неизменной скоростью передачи информации: заметьте, что скорость вращения пластинки или магнитофонной ленты при записи или воспроизведении не меняется. Аналогово-цифровое преобразование звука также выполняется с фиксированной скоростью. При этом генерируется файл с «сырым», необработанным звуком. «Сырой» звук CD-качества содержит много информации; следовательно, для его хранения требуются файлы большого размера, а для передачи — канал большой пропускной способности. Неизбежно встает вопрос о сжатии этой информации.
Сжатие
Сжатие данных — это процесс, позволяющий кодировать цифровую информацию с помощью меньшего количества бит. Для сжатия цифрового аудио используются форматы
MP3, FLAC, Vorbis и другие. Эти форматы позволяют уменьшить размер звуковых файлов и быстрее передавать их. Однако и при передаче, и при воспроизведении требуется распаковка данных.
Сжатие данных может выполняться с помощью различных алгоритмов. Существуют два основных вида алгоритмов сжатия — с потерями или без потерь информации. Сжатие с потерями приводит к необратимому ухудшению качества звука. При сжатии без потерь качество звука не снижается, что позволяет при необходимости полностью восстановить исходный звук. В форматах сжатия произвольной информации (
ZIP, RAR, ARJ и других) используются алгоритмы сжатия без потерь, в противном случае при сжатии и последующей распаковке данных терялись бы некоторые буквы и слова.
Также важно учитывать скорость работы алгоритмов: более сложный алгоритм может обеспечить более высокую степень сжатия, но если время сжатия и распаковки слишком велико, такой алгоритм может оказаться непригодным для передачи звука в реальном времени.
Какой формат лучше? Когда удобно использовать сжатие информации? В каждом отдельном случае баланс между качеством звука и экономией занимаемого места на диске и времени передачи определяется индивидуально. Очевидно, что профессионалы отдают предпочтение сохранению качества. В других случаях, например, при потоковой передаче или телефонной связи, предпочтительнее использовать сжатие информации.
Способы сжатия
В одном из основных методов сжатия используется поиск повторяющихся значений и закономерностей. Как можно сжать следующие последовательности бит?
1) 111111111111111111111111111111111…
2) 101101110111101111101111110111111…
3) 11010110001011010000101001110010…
Чтобы понять, как работает алгоритм сжатия, представьте, что нам нужно передать другому человеку такой набор инструкций, чтобы он смог воспроизвести исходное сообщение.
Передать первую последовательность нетрудно, достаточно дать команду «всегда записывать 1».
Команда для второй последовательности несколько сложнее: «Записывать каждый раз на 1 больше, разделяя группы единиц нулями».
Третья последовательность — самая сложная. Ее нерегулярность не позволяет сформировать набор инструкций, которые помогли бы существенно сэкономить время по сравнению с последовательной передачей исходных значений.
Распознавание закономерностей используется преимущественно при сжатии текстов и изображений. Однако информация, содержащаяся в звуковых файлах, имеет по большей части хаотичный характер, поэтому вышеописанные методы не позволяют достичь хорошей степени сжатия. Следовательно, при сжатии аудио с потерей данных используются другие приемы, например методы психоакустики. Один из таких приемов заключается в определении и устранении информации, «незначимой для восприятия» (это определение можно трактовать абсолютно по-разному). Иными словами, не производится кодирование звуков, которые неразличимы слушателем.
Другой прием — так называемое формирование шума (
noise shaping), при котором шумы смещаются в спектр частот, менее заметных для слушателя, и воспринимаемый сигнал кажется более чистым. Разумеется, всегда можно уменьшить частоту дискретизации и число бит, используемых при кодировании.
MIDI
MIDI (англ.
Musical Instrument Digital Interface — «Цифровой интерфейс музыкальных инструментов») — это набор команд, разработанный в 1982 году для связи компьютеров и электронных музыкальных инструментов.
Инструкции в формате MIDI хранятся в файлах, которые можно воспроизвести в любой момент. Так как эти файлы содержат только последовательность инструкций, они имеют намного меньший размер, чем обычные аудиофайлы. MIDI-файл можно назвать цифровой партитурой. Он состоит из последовательно записанных событий и команд. Эти события описывают множество параметров звука: его высоту, интенсивность, вибрато, звуковую панораму.
MIDI-инструкции могут выглядеть так: «Воспроизвести на пианино ноту до с определенной интенсивностью, в момент времени 1 прекратить воспроизведение и воспроизвести ноту ре в два раза меньшей интенсивности» и так далее. Благодаря такой простоте формат MIDI чрезвычайно удобен для создания музыкальных композиций. Пианист может сесть за MIDI-клавиатуру, сыграть мелодию, и она запишется в файл, который затем можно будет отредактировать.
Пример цифровой партитуры. Временные интервалы откладываются вдоль горизонтальной оси. Прямоугольники означают промежутки времени, в течение которых исполняется нота, лежащая на линии или промежутке между линиями обычной партитуры.
* * *
ДРЕВНИЕ ФОРМАТЫ MIDI
С развитием механики струнные инструменты дополнились колками для настройки струн, духовые — клапанами и многочисленными трубками. С появлением подобных элементов начали выдвигаться предположения об автоматизации инструментов. Попытки автоматизировать музыкальные инструменты предпринимались еще в античности.
К первым устройствам хранения аудиоинформации можно отнести цилиндры с намотанной на них бумагой, которые использовались для записи мелодии в автоматических пианино и органах. В бумаге проделывались отверстия и продольные разрезы, а цилиндр служил аналогом партитуры: временному интервалу между двумя звуками соответствовало расстояние между отверстиями, а нота определялась положением отверстия на линии, параллельной оси вращения цилиндра. Отверстие (1) означает наличие звука, отсутствие отверстия (0) означает отсутствие звука. Перфорированный лист бумаги — первое устройство для хранения информации и ее последующего автоматического воспроизведения.
Перфорированная лента механического пианино.
* * *
Оркестр
Для исполнения партитуры формата MIDI необходим оркестр — система, которая получает команды, сохраненные в MIDI-файле, обращается к базе звуков и воспроизводит нужные (или же получает нужные звуки путем преобразований уже имеющихся).
Источниками этих звуков являются, естественно, настоящие музыкальные инструменты. Так, в базе звуков, соответствующих пианино, хранятся все возможные ноты, сыгранные на этом инструменте. Аналогичным образом сохраняются звуки для всех остальных инструментов. В некоторых случаях записываются не все ноты, а, например, каждая третья. Остальные воссоздаются с помощью алгоритмов на основе уже сохраненных нот. Однако гораздо чаще записывается несколько вариантов одного и того же звука, имеющих различную интенсивность, различные методы исполнения, например, взятых с нажатой педалью и так далее.
Еще одним источником звуков является синтез: с его помощью искусственные звуки создаются с нуля или путем преобразований других звуков. Как правило, MIDI-синтезаторы имеют равномерно темперированный строй (о нем рассказывается в главе 1), хотя они обладают достаточной гибкостью для использования любого другого строя.
Квантование
Любой звук, сыгранный на MIDI-клавиатуре и записанный в реальном времени, фиксируется на цифровой партитуре, которую затем можно изменять, улучшать и так далее. Этот процесс называется квантованием и заключается в разбиении сигнала на конечное число интервалов. Он весьма схож с квантованием электрических сигналов при аналогово-цифровом преобразовании звука: все MIDI-инструкции приводятся к ближайшему «логичному» значению, соответствующему звуку, который предположительно хотел исполнить музыкант. Однако в основе этих автоматических преобразований лежат критерии точности, применение которых может с легкостью изменить исходное исполнение композиции.
Глава 5
Математика для композитора
Настоящий художник должен предельно строго регламентировать свою жизнь. Вот точный график моих ежедневных действий.
Подъем в7 ч. 18 мин. Первое вдохновение от 10:23 до 11:47. Затем я завтракаю в 12:11 и аккуратно встаю из-за стола в 12:14. Оздоровительная прогулка верхом по главным аллеям моего парка от 13:19 до 14:53. Очередное вдохновение от 15:12 до 16:07. Различные важные занятия (фехтование, мышление, неподвижность, визиты, созерцание, ловкость рук, беглость, плавание и так далее) от 16:21 до 18:47 включительно. Обед подается к 19:16 и длится до 19:20 без перерыва. Симфонические чтения вслух с выражением от 20:09 до 21:59. Я ложусь в постель строго в 22:37. Промедление невозможно. Один раз в неделю вскакиваю рывком в 3:19 (только по вторникам).
Эрик Сати
В предыдущих главах мы рассказали, как с помощью математики можно описать различные свойства музыки и ее суть. В этой главе, напротив, будет солировать математика: мы расскажем о том, как авангардисты начала прошлого века пытались определить пределы тональной музыки, используя различные математические инструменты.
Тональный эгалитаризм: додекафония
В начале XX века тональная музыка переживала кризис. В поисках высшей экспрессивности Лист и в еще большей степени Вагнер и Штраус довели принципы, на которых основывался хроматический строй, практически до предела, что означало отсутствие тональности. Как результат, возникла «атональная» музыка, в которой отсутствовал тональный центр. Одним из ярчайших представителей этого направления был
Арнольд Шёнберг (1874–1951). Позднее, в начале 1920-х годов, этот австрийский композитор разработал технику музыкальной композиции, получившую название додекафония, которую стали использовать представители Новой венской школы, в частности Альбан Берг и Антон Веберн.
Что такое додекафония?
Термин «додекафония» (от греч. «двенадцать звуков») означает совокупность 12 звуков западной музыкальной системы. Эти 12 звуков соответствуют семи белым и пяти черным клавишам пианино. При использовании 12 звуков нужно учитывать два важных фактора:
— в додекафонии отсутствует однозначное определение звуков, которые ранее считались независимыми, например, ля-диез и си-бемоль. Эти звуки считаются эквивалентными;
— при указании каждого из 12 звуков речь идет обо всех подобных звуках. Так, когда упоминается до, имеется в виду не нота до конкретной октавы с конкретной частотой, а все ноты до различных октав. Таким образом, в додекафонии существует «всего» 12 звуков.
Додекафония подчинена основной идее атональной музыки: отказ от выделения в иерархии какой-то одной ноты (тоники) по отношению к остальным. В додекафонии был создан метод, позволяющий избежать преобладания одних нот над другими. Он заключается в том, что всем нотам присваивается одно и то же относительное значение и все ноты используются в композиции примерно одинаковое число раз.
* * *
НЕТ — ТРИДЕКАФОНИИ!
Может показаться забавным, что Шёнберг, создатель додекафонии, системы из 12 звуков, страдал оттрискаидекафобии — боязни числа 13. Причины этой фобии неизвестны. По-видимому, она появилась еще в древние времена, так как еще викинги избегали «чертовой дюжины», а в христианской традиции это число связывается с Иудой, который был тринадцатым на Тайной вечере. В древней Персии это число ассоциировалось с хаосом.
Боязнь числа 13 порой достигает невероятных размеров. Так, во многих городах, где улицы пронумерованы, нет улицы под номером 13; во многих зданиях нет 13-го этажа. В «Формуле-1» ни один автомобиль не имеет номер 13. Американского актера Стэна Лорела из знаменитого дуэта Лорела и Харди на самом деле звали Стэн Джеферсон (13 букв); он сменил фамилию из-за боязни числа 13. Некоторые музыканты также демонстрировали по меньшей мере предубеждение к этому числу: американец Джон Мэйер записал 14 композиций для своего альбома Room for Squares, но композиция под номером 13 содержит лишь две секунды тишины, а в нумерации композиций на этом альбоме число 13 пропускается.
Арнольд Шёнберг родился 13 сентября 1874 года. Он изменил название своей оперы Moses und Aaron(«Моисей и Аарон») на Moses und Aron, так как первый вариант названия содержал 13 букв. Он боялся умереть в год, кратный числу 13, и в 1950 году, когда ему исполнилось 76 лет (7 + 6 = 13), он впал в депрессию. Он умер в пятницу 13 июля 1951 года. В свою очередь Альбан Берг был одержим числом 23, которое считал фатальным. Тем не менее это число часто используется в его Лирической сюите: многие ее части имеют число тактов, кратное 23, равно как и темп метронома.
* * *
Серии
Чтобы достичь этой цели, в додекафонии используется ряд правил. Например, чтобы слушатель не заострял внимание на определенных нотах больше, чем на остальных, композиции должны содержать полные циклы из всех 12 нот. После того как была использована одна нота, ее можно использовать снова только тогда, когда будет завершен цикл из 12 нот.
Ноты циклов не располагаются в беспорядке — напротив, в основе каждой композиции лежит «серия» — четко упорядоченная последовательность из 12 звуков хроматической гаммы.
Однако серия — это не просто группировка звуков с целью их статистического подсчета, а эквивалент традиционного мотива. В этом смысле додекафония признает себя продолжателем западной музыкальной традиции. Изображенная ниже серия используется в Сюите ор. 25 Шёнберга — одном из первых произведений, в котором применена система из 12 звуков.
Композитор наряду с основной серией создает другие, связанные или производные серии. Они получаются с помощью преобразований, которые мы рассмотрели в главе 3: инверсии, ракохода и транспозиции.
Существует четвертое преобразование, популярное у некоторых композиторов, — поворот. Если мы представим серию в виде круга (соединив первую ноту с последней), поворот будет эквивалентен началу серии с любой из точек круга.
Может показаться, что додекафоническая запись не требует особого творчества, потому что в ней используются серии. Да, применение серий составляет саму суть додекафонии, но каждый композитор подстраивает их к своим потребностям. На основе серии композитор может использовать разнообразные приемы: запись нот серии в разных октавах и для разных инструментов; начало исходной или преобразованной серии до того, как закончено исполнение предыдущей; работа с производными сериями, составленными из фрагментов исходной, и так далее.
* * *
КАКОВО ЧИСЛО ВСЕХ ВОЗМОЖНЫХ СЕРИЙ?
Первой нотой серии может быть любая из 12 возможных. После того как мы выбрали первую ноту, следующую можно выбрать из 11 оставшихся. Таким образом, число возможных вариантов для первых двух нот равно 12·11. Третьей нотой может быть любая из десяти оставшихся. Таким образом, число вариантов для первых трех нот равняется 12·11·10. Продолжив рассуждения, получим, что общее число возможных различных серий равно 12·11·10·9·…·3·2·1 = 479001600. Это число называется факториал 12 и записывается как 12!
Факториал любого целого положительного числа п определяется как произведение всех целых положительных чисел от 1 до n. Таким образом, n! = n·(n — 1)·…·2·1.
Однако для додекафонических серий подсчет «различных по сути» мелодий выглядит несколько сложнее, так как в этом случае не должны учитываться транспозиции, инверсии, ракоходы и сочетания этих преобразований. Тщательные подсчеты показывают, что число различных серий равно 9 985 920.
* * *
Числовая и матричная форма
Традиционные партитуры, в которых используется нотный стан, подчиняются логике диатонической музыки. Одним из следствий этого является тот факт, что расстояние между соседними линиями нотного стана и промежутками между ними не всегда обозначает один и тот же музыкальный интервал. Иногда этот интервал состоит из двух полутонов (от
ре до
ми), иногда — из одного (от
ми до
фа). Из-за этого в додекафонической музыке используются альтерации. По этой причине, как видно из предыдущих примеров, инверсии и ракоходы додекафонических серий «не видны» на партитурах.
Серию также можно представить в числовом виде, что упрощает запись мелодии. При записи серий в числовом виде, как правило, выбирается исходная нота. В следующем примере исходной нотой является
ми, которой присвоено значение 0. Далее последовательно нумеруются полутона:
фа обозначается 1,
фа диез — 2,
соль — 3 и так далее.
При представлении серии в числовом виде для нахождения связанных серий можно использовать средства арифметики. Например, транспозиция серии получается прибавлением одного и того же числа
k к каждому элементу серии:
Tk(
s1,
s2, …,
s12) —> (
s1 +
k,
s2 +
k, …,
s12 +
k),
T0(0, 1, 3, 9, 2, 11, 4, 10, 7, 8, 5, 6) —> (0, 1, 3, 9, 2, 11, 4, 10, 7, 8, 5, 6),
T1(0, 1, 3, 9, 2, 11, 4, 10, 7, 8, 5, 6) —> (1, 2, 4, 10, 3, 0, 3, 11, 8, 9, 6, 7),
T2(0, 1, 3, 9, 2, 11, 4, 10, 7, 8, 5, 6) —> (2, 3, 5, 11, 4, 1, 6, 0, 9, 10, 7, 8),
…
T7(0, 1, 3, 9, 2, 11, 4, 10, 7, 8, 5, 6) —> (7, 8, 10, 4, 9, 6, 11, 3, 2, 3, 0,1),
…
T12(0, 1, 3, 9, 2, 11, 4, 10, 7, 8, 5, 6) —> (11, 0, 2, 8, 1, 10, 3, 9, 6, 7, 4, 5).
После 11 счет снова начинается с 0, точно так же как мы считаем часы: 8 часов утра плюс 7 часов равно 3 часам дня. В математике подобные операции на ограниченных множествах чисел называются модулярной арифметикой. В случае с додекафоническими сериями множество чисел имеет всего 12 элементов в интервале от 0 до 11. Число элементов множества называется модулем (в нашем случае модуль равен 12). В арифметике по модулю 12 число 13 эквивалентно числу 1. Записывается это так:
13

1 (mod 12).
Все числа вида 12
k + 1, где
k — целое, эквивалентны 1:
25

1 (mod 12),
37

1 (mod 12),
49

1 (mod 12),
61

1 (mod 12),
Как мы уже говорили, в додекафонии не проводятся различия между одинаковыми нотами, которые относятся к разным октавам. Арифметика по модулю 12 отражает этот факт: число 1, которым в нашем примере обозначена нота
фа, равно 13, которым снова обозначается
фа.
Средства модульной арифметики помогают заметить, что инверсия серии эквивалентна замене всех значений от 0 до 11 (то есть значений всех различных нот) разницей между этим значением и 12. При таком преобразовании значение 1 заменится на 11, 2 — на 10, 3 — на 9 и так далее. Для серии, которую мы рассматривали
в качестве примера, получим:
I(
s1,
s2,
...,
s12) —> (
s1, 12 —
s2,…, 12 —
s12)
I(0,1, 3, 9, 2, 11, 4, 10, 7, 8, 5, 6) —> (0, 11, 9, 3, 10, 1, 8, 2, 5, 4, 7, 6).
Ракоход, в свою очередь, получается «обращением» числового ряда слева направо:
R(
s1,
s2, ...,
s12) —> (
s12,
s11, ...,
s1)
R(0, 1, 3, 9, 2, 11, 4, 10, 7, 8, 5, 6) —> (6, 5, 8, 7, 10, 4, 11, 2, 9, 3, 1, 0).
Исходная серия вкупе с ее инверсией, ракоходом и с 12 возможными транспозициями для каждого из этих преобразований формирует 4·12 = 48 перестановок, которые может использовать композитор. Если учитывать повороты, то число вариантов возрастет до 48·12 = 576.
Эти 48 форм можно записать в виде матрицы размером 12 x 12, опираясь на следующие правила:
— в первой строке
T0 записывается исходная серия (в нашем примере выделена жирным шрифтом);
— в первом столбце
I0 записывается инверсия серии (также выделена жирным);
— в каждой из оставшихся ячеек записывается сумма (по модулю 12) чисел, с которых начинаются соответствующая строка и столбец. Например, пятая строка начинается с числа 10, четвертый столбец с числа 9, следовательно, на пересечении этой строки и этого столбца необходимо записать число 7, так как 10 + 9 = 19

7 (mod 12).
12 строк матрицы будут содержать исходную серию со всеми возможными транспозициями, 12 столбцов — инверсию исходной серии со всеми возможными транспозициями. Ракоходы этих 24 серий можно получить, если изменить направление обхода матрицы: строки нужно читать справа налево, столбцы — снизу вверх.
Круговая форма
Представление серии в форме круга особенно полезно при изучении додекафонии. Например, в круговой форме серия из ор. 25 Шёнберга выглядит так:
Чтобы получить ракоход серии, нужно всего лишь изменить направление обхода на противоположное:
Чтобы получить инверсию серии, достаточно отобразить ее симметрично самой себе относительно оси, проходящей через основной тон:
Для транспозиции нужно повернуть круг на необходимое число «часов»:
Инверсию транспозиции можно получить отражением относительно нужной оси:
Круговая форма позволяет лучше увидеть внутреннюю структуру некоторых серий. Например, в основе серии Струнного квартета ор. 28 Антона Веберна, о которой мы уже рассказывали, лежит тема
ВАСН:
Если представить эту серию в круговой форме, то ее симметрия становится более наглядной. На рисунке ниже ось симметрии серии обозначена пунктирной линией. Благодаря такому расположению серия
S совпадает со своей ракоходной инверсией при транспозиции на три полутона вниз. Иными словами, эта серия получается из исходной путем применения уже известных вам функций ракохода (
R), инверсии (
I) и транспозиции (
Т), последняя из которых применяется трижды:
Тема
ВАСН, которая сама по себе является симметричной, звучит в серии трижды: первый раз в исходном виде, второй — в инвертированном и транспонированном, третий — в транспонированном:
В круговом представлении повороты связывают последние ноты с первыми, замыкая круг. Таким образом, обход серии может начинаться с любой точки круга.
Альбан Берг
Третьим выдающимся представителем Новой венской школы был
Альбан Берг (1885–1935). Он владел богатым музыкальным языком, и использование приемов додекафонии не помешало ему придать своим композициям в высшей степени экспрессивный характер. Среди наиболее известных его произведений — оперы «Воццек» и «Лулу», Лирическая сюита для струнного квартета и Концерт для скрипки с оркестром «Памяти ангела». Серия из последней композиции (представлена на рисунке)
обладает удивительной симметрией, которую можно заметить, если представить серию в форме круга:
Для этой серии характерно созвучие тонов, которое становится очевидным, если записать серию в числовой форме (0, 3, 7, 11, 2, 5, 9, 1, 4, 6, 8, 10). Обратите внимание, что серия содержит последовательность из четырех больших и малых аккордов, тем самым восстанавливается квинтовый круг: 0–7, 7–2, 2–9 и 9–4. Круг завершается четырьмя последовательными тонами.
На следующей иллюстрации показаны эти цепочки квинт (исключены некоторые промежуточные элементы):
Сериализм, контроль и хаос
Додекафония открыла путь к созданию музыкальных композиций под сильным влиянием математических моделей. Те же принципы, которым соответствуют высоты звуков в сериях, вскоре стали применяться и к другим параметрам звуков. Изначально композиторы стремились сделать распределение звуков разной высоты статистически равномерным. Почему это же нельзя применить и к другим параметрам — интенсивности, длительности нот, тембру или регистру? По сути, этот метод ничем не будет отличаться от метода, использованного для распределения высот звуков. Например, можно составить таблицу, в которой будут перечислены 12 степеней динамики, начиная от пиано пианиссимо и заканчивая форте фортиссимо. Можно составить серию из уровней относительной громкости и работать с ней так же, как и с другими сериями:
Аналогично можно указать длительности нот или любой другой параметр, а затем применить к нему музыкально-математические преобразования. Представителями этого направления являются французский композитор
Пьер Булез (р. 1925) и немецкий композитор
Карлхайнц Штокхаузен (1928–2007), которые систематически использовали серии применительно к различным свойствам звуков. Это направление называется интегральный сериализм.
Булез разработал метод так называемого умножения блоков. Каждый из гармонических блоков
А и
В является аккордом — множеством звуков определенной высоты. При транспозициях блока
А в качестве самой низкой ноты последовательно выбирается каждая нота блока
В. Произведение
А x
В — это гармоническое соединение всех таких транспозиций.
Булез использовал этот прием в произведении
Le marteau sans maítre («Молоток без мастера»), разделив серию на пять блоков
a, b, c, d и
е, которые затем перемножались по описанному выше методу:
Это интересный пример того, как математическая операция (в данном случае умножение) переносится в область, где, как может показаться, она не будет иметь смысла. Однако подобные методы оказались не слишком плодотворны. Сериализм сводит процесс создания композиции к простой абстрактной игре, и полученные композиции практически невозможно «расшифровать». Сам Булез упоминал об этой проблеме в своей книге «Структуры»:
«Я хотел полностью исключить из моего словаря все следы условностей применительно к ритму и фразам, равно как и к форме. Следовательно, я хотел элемент за элементом восстановить различные этапы создания музыки так, чтобы возник новый идеальный синтез, который не был бы изначально испорчен чужеродными реминисценциями, свойственными определенным стилям».
Стохастическая музыка
Французский композитор греческого происхождения
Янис Ксенакис (1922–2001) критиковал сериализм, так как считал, что независимое формирование серий из разных параметров (высоты, длительности, динамики и других) ведет к тому, что они оказываются изолированными и не связанными между собой. Параллельная организация различных серий подобна концептуальной полифонии, когда идеальный слушатель может оценить каждую серию по отдельности точно так же, как он слышит отдельные голоса классической полифонической мелодии. Однако результат больше напоминал совокупность разрозненных элементов, собранных в общую массу звуков.
Ксенакис, который также был архитектором, стремился создать структурированную музыку, в которой была бы воссоздана согласованность между эстетическим и природным. Его музыка предстает перед слушателем в виде «звуковых облаков», которые со временем видоизменяются. Эти облака образованы из множества конкретных звуков, почти не связанных между собой, но подчиняются общим для композиции статистическим законам. После того как сформированы общие структурные очертания произведения, отдельные части распределяются на основе множества сложных математических методов и моделей, принадлежащих к теории вероятности, алгебре, теории групп и теории игр.
Партитура пьесы «Метастаз» Яниса Ксенакиса.
Игра в кости с Моцартом
Вольфганг Амадей Моцарт (1756–1791) и
Йозеф Гайдн (1732–1809) — самые известные композиторы классического периода. Музыка того времени, доступная широкому кругу слушателей, подчинялась строгим законам, которыми в совершенстве владели и Моцарт, и Гайдн.
Расцвет классической музыки совпал по времени с промышленной революцией: появились машины, способные заменить ручной труд, начался процесс автоматизации производства. Это привело к изменениям в общественном и экономическом устройстве, идея крупномасштабного производства укоренилась в массовом сознании.
Иоганн Филипп Кирнбергер (1721–1783) был композитором и теоретиком музыки, учеником Баха и создателем различных видов темперации, носящих его имя. В 1757 году он опубликовал первую из серии игр, в которых систематизировались музыкальные композиции и которые позволяли любому создавать свои собственные произведения, для чего не требовались специальные знания. Моцарт и Гайдн придумали игру
Musikalisches Würfelspiel — музыкальную «игру в кости». Далее мы расскажем об игре, создание которой приписывается Моцарту. Она содержит 176 пронумерованных готовых тактов, расположенных в двух таблицах. Каждая таблица имеет 16 столбцов. Нужно случайным образом выбрать число в каждом из столбцов обеих таблиц, бросив обычные игральные кости.
Игрок-композитор бросает кости, и выпадает число от 2 до 12. Это число указывает на номер ячейки таблицы в столбце 1. Например, выпали числа 3 и 5, в сумме они дают 8. Это означает, что нужно выбрать число в строке 8 первого столбца. Это число 152. Такт номер 152 станет первым в нашем «произведении». Повторив эти же действия для каждого из оставшихся столбцов, мы получим 32 такта. (При выборе чисел во второй таблице нужно бросать только один кубик.)
Число возможных композиций
Каково число различных композиций в этой игре? Первый такт можно выбрать 11 способами — по числу возможных очков (от 2 до 12), выпавших при броске двух игральных костей. Для каждого первого такта второй такт можно выбрать также 11 способами. Всего первые два такта можно выбрать 11·11 = 11
2 = 121 различным способом.
Для каждой пары первых двух тактов третий такт можно выбрать И способами. Таким образом, общее число возможных сочетаний первых трех тактов равно 11
2·11 = 11
3 = 1331.
* * *
УЛИПО
Комбинаторный метод, похожий на тот, что изложен выше, использовал в XX веке французский писатель Раймон Кено (1903–1976), который вместе с математиком Франсуа Ле Лионне в 1960 году основал УЛИПО (фр. OULIPO, сокращение от Ouvroir de littérature potentielle — цех потенциальной литературы). Его произведение Cent mille milliards de poémes («Сто тысяч миллиардов стихотворений») состоит из десяти сонетов, каждая из четырнадцати строк которых может сочетаться с любой другой строкой любого другого сонета. Так, существует 10 вариантов выбора первой строки, 10 — второй и так далее. Таким образом, общее число сонетов равно 1014 — название этого числа и вынесено в заглавие произведения.
* * *
С каждым новым тактом менуэта общее число возможных композиций увеличивается в 11 раз, с каждым тактом трио — в 6 раз. Общее число «произведений» В этой игре равно 11
6·6
16 = 129629238163050258624287932416 ~= 1,3·10
29. Если бы кто-то решил исполнить их все подряд, одно за другим, без перерывов, тратя на исполнение каждого 30 секунд, то ему понадобилось бы свыше 123 000 триллионов лет.
Любопытно, что с точки зрения теории вероятностей игра плохо подходит для создания разнообразных композиций. При броске двух костей число возможных очков лежит в интервале от 2 до 12, но вероятность выпадения разных чисел отличается: 7 можно выбросить шестью способами, а 2 и 12 — всего одним, как можно увидеть из следующей таблицы:
Копирование великих
При изучении искусства композиции часто используется следующий метод: ученик должен написать произведение в стиле одного из великих композиторов: фугу в стиле Баха, сонату в стиле Бетховена или прелюдию в стиле Дебюсси.
Рассмотрим в качестве примера творчество Бетховена. При копировании его стиля ученик должен использовать различные приемы, чтобы созданная им композиция «звучала, как бетховенская». В чем же заключается стиль Бетховена? Можно перечислить несколько примеров: это и музыкальная форма, и исполнение мелодии при использовании более или менее широких мелодических интервалов, включение пауз и динамических контрастов.
Каждое музыкальное измерение определенного стиля можно проанализировать с помощью статистических методов. Например, если мы хотим изучить тематические мотивы сонат Бетховена, можно проанализировать ширину выбранного регистра, то есть интервал между самой низкой и самой высокой нотой. Статистика покажет, в каких из этих мотивов ширина регистра равна 1 полутону, 2, 3 и так далее. (Кстати, интересно узнать минимальную ширину интервала, использованную Бетховеном, то есть первый ненулевой член этой числовой последовательности.) Похожая статистика поможет проанализировать любой другой параметр.
Хотя с помощью методов статистики можно получить общее представление о композиции, в нем не будет учитываться контекст: при копировании стиля распределение нот, возможно, будет не столь важно (информация о том, сколько нот до содержится в произведении, будет абсолютно бесполезной, если мы запишем все эти ноты подряд в самом начале нашей композиции). Важно знать не то, сколько раз используется каждая нота по отдельности, а то, как связаны ноты между собой.
Решить эту задачу нам помогут цепи Маркова. Суть их использования заключается в следующем. С помощью методов статистики мы изучаем порядок следования различных «состояний» системы. Применительно к созданию мелодий цепи Маркова позволяют воспроизвести закономерности, которые указывают, как определенные последовательности нот влияют на звучащие в дальнейшем ноты.
День рождения Маркова
В следующем примере мы используем цепи Маркова, чтобы создать мелодию в стиле известной песни
Happy Birthday.
В следующей таблице показано, сколько раз каждая нота встречается в этой мелодии:
Может показаться, что если мы хотим написать мелодию в этом же стиле, в новой мелодии ноты должны располагаться в точно таком же соотношении. Но в действительности такая мелодия будет иметь мало общего с оригиналом.
Вместо того чтобы анализировать, сколько раз в мелодии встречается каждая нота, с помощью цепей Маркова можно определить, в какой последовательности они располагаются. 26 нот мелодии упорядочены с помощью 25 переходов: первый переход
соль-соль, второй —
соль-ля и так далее. Максимально возможное число переходов равняется 8·8 = 64, но не все они используются в этой мелодии.
В следующей таблице приведено число переходов каждого типа:
Даже если мы выберем первую ноту произвольным образом, следующие ноты будут выбраны в соответствии с информацией о числе переходов каждого типа, которая содержится в таблице.
Начнем новую мелодию с ноты
соль — с этой же ноты начинается оригинальная мелодия. Какие ноты могут следовать за начальным
соль? В последней строке таблицы показано, что в мелодии
Happy Birthday ноту, следующую за нотой
соль, можно выбрать восьмью способами: один раз за ней следует
соль второй октавы, один раз
ре, один раз
до, два раза
ля, три раза та же нота
соль. Обозначим каждый из этих переходов числом от 1 до 8 и выберем случайным образом число, лежащее в этом интервале, чтобы определить вторую ноту мелодии. Если выпадет 1, этой нотой будет
соль второй октавы, если 2 —
ре, если 3 —
до, если 4 или 5 —
ля, если 6, 7 или 8 —
соль. Допустим, выпало число 3. Это означает, что второй нотой в новой мелодии будет нота
до.
Повторим эти же действия для пяти возможных вариантов выбора ноты, следующей за
до: ре, до, си, си и
соль. Случайно выбранное число в интервале от 1 до 5 укажет третью ноту новой мелодии. Допустим, выпало число 4. Третьей нотой новой мелодии станет нота
си. Эти действия повторяются требуемое число раз. Далее приведена мелодия, написанная с помощью этой техники:
Второй Happy Birthday
Мы только что проанализировали музыкальное произведение с помощью марковского процесса первого порядка, учитывая, как каждая нота зависит от предыдущей. Попробуем теперь использовать марковский процесс второго порядка и определить, как каждая нота зависит от двух предыдущих. Проанализируем исходную мелодию еще раз. Первый переход второго порядка — это
соль-соль =>
ля. Следующий —
соль-ля =>
соль.
Хотя число возможных переходов второго порядка равняется 64·8 = 512, в мелодии используется лишь несколько из них. Они представлены в таблице:
При создании мелодии второго порядка нужно выполнить те же действия, что и в предыдущем случае. Разница заключается только в том, что останется совсем немного способов «свернуть» с пути, заданного исходной мелодией. Далее приведена мелодия, созданная по этому методу:
Эти мелодии воссоздают исходную
Happy Birthday лишь порядком следования нот друг за другом. Эту же технику можно применять и к другим музыкальным «измерениям» и определять с ее помощью длительности нот, гармонические последовательности, регистры, оркестровку и так далее.
EMI
Программа EMI (англ.
Experiments in Musical Intelligence — «Эксперименты в области музыкального искусственного интеллекта») не только имитирует стили великих композиторов, но также способна создавать собственные композиции.
Разработанная американцем Дэвидом Коупом программа EMI анализирует произведения выбранного композитора и выделяет их фрагменты — музыкальные «клетки», затем комбинирует их в новом порядке и создает композиции в том же стиле, что и проанализированные произведения. На основе этих фрагментов произведений под руководством опытного пользователя EMI формирует таблицы подобные той, что используется в игре Моцарта
Musikalisches Würfelspiel. Далее EMI использует различные приемы искусственного интеллекта для объединения этих изолированных фрагментов. Произведения, созданные EMI, «прошли проверку» слушателей-людей: некоторым понравилась услышанная музыка, другие пришли в ярость, а кто-то всерьез обеспокоился способностью машины воспроизводить плоды человеческого гения. Коуп не согласен с тем, что в будущем слушатели будут реагировать на компьютерную музыку подобным образом: «По сути, компьютер — это лишь инструмент, расширяющий наш разум. Музыка, созданная с помощью наших алгоритмов, столь же «наша», как и та, что создана исключительно человеческим вдохновением».
Механизация
Программа Коупа ставит вопрос: можно ли механизировать творческий процесс?
Еще до того, как Моцарт создал свою игру, появились первые музыкальные автоматы. В XVII веке Афанасий Кирхер создал
Area Musarithmica — первый инструмент, способный создавать музыкальные произведения для четырех голосов по определенному алгоритму. В начале XIX
века Дитрих Винкель (1777–1826) создал
Componium — автоматический орган с двумя валами, которые случайным образом чередовались при исполнении произведений. Чтобы ответить на вопрос, поставленный в начале этого раздела, нужно понять, в чем заключен источник вдохновения композиторов и можно ли как-то воспроизвести или сымитировать его.
Вдохновение
Как и в других видах искусства, на создание музыки композиторов может вдохновить любимый человек, историческое событие или личность, художественное произведение. Концерты «Времена года» Антонио Вивальди, Фантастическая симфония Гектора Берлиоза, увертюра «1812 год» Петра Чайковского — вот некоторые из наиболее известных примеров так называемой «программной музыки», которая напрямую связана с внемузыкальной реальностью. Во всех указанных случаях источник вдохновения композитора находится в общеизвестной исторической или литературной среде или, по меньшей мере, в среде, современной композитору. Однако источником вдохновения не всегда служит нечто очевидно общее для композитора и других людей либо же он видоизменяет это силой своего творчества.
Так, бразильский композитор
Эйтор Вилла-Лобос (1887–1959) в 1939 году написал произведение
New York Skyline (позднее переработав его в 1957 году), вдохновившись очертаниями небоскребов Нью-Йорка, силуэты которых он изобразил на листе бумаги в клетку.
Сэр
Эдуард Элгар (1857–1934) посвятил свои знаменитые «Энигма-вариации», ор. 36 «друзьям, изображенным в этом произведении». Каждая вариация содержит инициалы или иное указание на близкого Элгару человека, которого он запечатлел в музыке. Однако название произведению дала не эта «загадка», а другая, ответ на которую до сих пор не найден: сам Элгар утверждал, что спрятал в этом произведении еще одну мелодию. Эта загадочная неслышимая мелодия подобна главному герою спектакля, который никогда не появляется на сцене, но вокруг которого развивается действие. После публикации партитуры было предложено множество решений этой загадки, но ни одно из них не выглядит убедительным.
Алгоритмическая композиция
Алгоритм — это множество инструкций по решению определенной задачи или выполнению определенного действия. Простейшие алгоритмы используются в школе для выполнения основных арифметических операций. Все процессы, выполняемые внутри компьютера, подчиняются тому или иному алгоритму. Хотя четкое определение алгоритма (одно из множества существующих) содержит указание на свойства, которыми должен обладать алгоритм (он должен быть конечным, состоять из четко определенных инструкций и так далее), мы будем использовать более простую формулировку. Будем считать алгоритм множеством шагов и (или) правил, которым нужно следовать для достижения определенного результата.
Алгоритмическая композиция представляет собой математическое моделирование процесса вдохновения. Композитор создает алгоритм, получающий некоторую информацию на входе и выдающий другую информацию на выходе. Какой смысл в создании музыки по алгоритму? В конечном счете разумно считать музыку способом коммуникации, выражающим человеческие эмоции, индивидуальное видение реальности определенного человека. Зачем нужны машины, способные создавать музыку? Будет ли результат их работы музыкой в полном смысле этого слова? Что такое музыка вообще?
Во-первых, хотя музыка остается средством выражения возвышенного, ее роль давно вышла за эти рамки. Музыка стала частью огромного рынка, который постоянно требует появления все новых и новых песен и исполнителей. В этом смысле композитор не более чем винтик механизма, без которого в недалеком будущем можно будет обойтись. Тот факт, что человека можно заменить, не ставит под сомнение качество работы композитора и корректность алгоритма, а показывает, что и люди, и алгоритмы являются частью одной стандартизованной системы.
Во-вторых, создание алгоритма, способного «написать» качественную музыку, — это задача, перед которой сложно устоять программистам, интересующимся музыкой. Правила, по которым создается музыка, можно проанализировать математически, но этот анализ имеет предел, после которого в объяснениях неизбежно начинают фигурировать такие понятия, как «вдохновение», «духовность», «чувственность», «искусство». Можно ли преодолеть этот предел? Доступны ли человеческому интеллекту глубинные правила, по которым создается музыка? Наступит ли день, когда какой-то программист, используя современные математические методы, подобно Прометею сможет «украсть» божественный огонь вдохновения и сделать его доступным для всех?
Приложение I
Основные понятия музыкальной нотации и теории музыки
В этом приложении мы расскажем об основных понятиях теории музыки, чтобы вы смогли лучше понять, о чем идет речь в книге. Музыкальная запись — пример того, как математика применяется в искусстве. Возможно, ее применение в музыке не столь очевидно, как, например, использование геометрии в живописи, но современная музыкальная нотация содержит ряд правил и символов, которые имеют математическое происхождение или интерпретируются по математическим законам.
Музыкальная нотация не была создана в одночасье, она является результатом длительного эволюционного процесса. Не так давно стали предлагаться альтернативные, более эффективные формы нотации, но из-за широкого распространения традиционной нотации внести в нее какие-либо изменения сложно, и на перестройку понадобится длительное время.
Высота
Высотой называется воспринимаемое значение «тона». Тон — это свойство звука, напрямую связанное с частотой звуковой волны. Частота звука измеряется в герцах (Гц). Высота — это свойство, позволяющее различать высокие и низкие звуки (чем больше частота, тем выше звук), а также распознавать ноты. Человеческое ухо способно улавливать звуковые колебания частотой примерно от 20 до 20 000 Гц. Звуки более низкой частоты называются инфразвуком, более высокой — ультразвуком. Чтобы упорядочить относительные высоты звуков, в 1939 году был определен стандартный тон для ноты ля, значение которого равно 440 Гц.
Интервалы
Интервалом называется разница высот двух звуков, воспринимаемая слушателем. Интервалы называются по порядку, который соответствует числу ступеней, разделяющих звуки, включая границы интервала. Это витиеватое определение проще понять на примере. Если сыграть одновременно ноту
фа и более высокую,
ля, то вы услышите интервал в одну терцию (
фа-соль-ля — три ноты). Ноту
ля и следующую по высоте
фа разделяет секста (
ля-си-до-ре-ми-фа — шесть нот).
При определении интервала первым называют более низкий звук. Например, секунда образуется двумя звуками звукоряда, идущими подряд:
до — ре, ре — ми, ми — фа и так далее. Терции выглядят так:
до — ми, ре — фа, ми — соль, фа — ля, соль — си.
Таким образом, интервал
до — ре — это секунда, интервал
ре — до — септима. Полный интервал между двумя равными нотами, например
до — до, называется октавой. Октава делится на 12 полутонов.
Интервалы, меньшие и равные октаве, в музыкальной нотации.
Классификация интервалов
Интервалы делятся на большие, малые и чистые в зависимости от числа полутонов. Например, два звука секунды
до-ре разделены двумя полутонами, поэтому этот интервал называется большая секунда. Две ноты другой секунды,
си-до, разделены одним полутоном, поэтому этот интервал называется малая секунда. Большими и малыми могут быть все интервалы, за исключением интервалов из пяти, шести и семи полутонов. Интервал в пять полутонов называется чистой квартой, в семь полутонов — чистой квинтой. Частный случай — нота, находящаяся ровно посередине октавы: в октаве
до-до фа-диез удалено на шесть полутонов от более низкого
до (увеличенная кварта) и на шесть полутонов от более высокого
до (уменьшенная квинта).
Если звуки берутся последовательно, то такой интервал называется мелодическим. Он может быть восходящим или нисходящим. Вид интервала также указывается в его названии. Например, восходящий интервал
до-ре называется восходящей большой секундой, нисходящий интервал
до-ре — нисходящей малой септимой. Нисходящий интервал
ре-до — нисходящая большая секунда, восходящий интервал
ре-до — восходящая малая септима. В зависимости от контекста вид интервала может не указываться.
Все возможные мелодические интервалы между двумя соседними нотами.
В следующей таблице приведено количество полутонов в различных интервалах:
Обращения интервалов
Обращенным называется интервал, который в сумме с основным интервалом охватывает все 12 полутонов октавы. Основной и обращенный интервалы напоминают дополнительные углы в геометрии, что показано на рисунке:
Обращенным интервалом чистой кварты (из пяти полутонов) является чистая квинта (из семи полутонов): соль-до (чистая кварта) и до-соль (чистая квинта). Дополнительным к углу α называется такой угол β, который в сумме с ним дает 90°.
Два интервала, в сумме образующие октаву.
В следующей таблице приведены обращенные интервалы для всех основных интервалов:
Обертоны
Когда музыкальный инструмент издает звук, он имеет конкретную частоту
F, но человеческое ухо воспринимает этот звук не как чистый тон, а как сумму бесконечного числа составляющих. Струна колеблется из стороны в сторону не упорядоченно, а хаотически. Звук, издаваемый струной, или любая другая нота, которую слышит наше ухо, складывается из основного тона и других призвуков — звуков меньшей интенсивности, которые называются обертонами. Нота, которую мы слышим, — это составной звук, но основной тон и все обертоны являются чистыми звуками. Из множества обертонов, составляющих звук, человеческое ухо улавливает всего 16.
На схеме изображена струна, частоты колебаний которой соответствуют первым обертонам.
Если на музыкальном инструменте исполняется нота до, то ряд из шестнадцати обертонов, воспринимаемых человеческим ухом, для этого звука будет выглядеть следующим образом:
В таблице приведены частоты различных обертонов. Например, 5-й обертон соответствует звуку, частота которого в пять раз больше частоты основного тона в 33 Гц: 33·5 = 165 Гц.
В музыкальной нотации 16 обертонам соответствуют следующие ноты:
Консонанс и диссонанс
Звуки, воспроизводимые одновременно, могут восприниматься как благозвучные (в этом случае имеет место консонанс) или неблагозвучные, напряженные (мы называем их диссонирующими). В главе 1 мы рассказали о том, что пифагорейцы считали причиной благозвучия или неблагозвучия особое соотношение длин струн, издававших эти звуки. Иными словами, для пифагорейцев согласованность звуков определялась соотношением их частот. Пифагорейцы считали октаву (она разделяет два звука, исполняемые на струнах, соотношение длин которых 1:2), квинту (соотношение длин струн для нее 2:3) и кварту (3:4) благозвучными. Другие интервалы, производные от трех основных, оказывались диссонирующими, так как соотношения частот для соответствующих звуков выражались сложными числами. На следующих иллюстрациях указаны основные интервалы и соотношения частот звуков, соответствующих границам этих интервалов:
Среди многочисленных гипотез, возникших в то время, особенный интерес представляет теория, согласно которой степень созвучности двух звуков тем больше, чем больше общих обертонов они имеют.
Запись времени на партитуре
Рассуждения о сути ритма (см. главу 2) позволили нам выделить различные свойства, описывающие чередование нот и пауз. Это дало возможность точнее записывать музыкальные произведения.
В физике время часто отображается на горизонтальной оси координат. Например, при построении графика положения тела при свободном падении высота обычно отображается на вертикальной оси (
Y), время — на горизонтальной (
X). Полученный график положения тела будет выглядеть так:
График движения тела при свободном падении.
Аналогичным образом время представляется и в музыке:
Нотная запись читается слева направо подобно тому, как читаются тексты, написанные на западных языках. Музыкальные ритмы изображаются в виде последовательности нот на горизонтальной оси.
Музыка и символы музыкальной нотации
Чтобы понять систему нотной записи, необходимо определить характеристики звуков, которые мы будем изображать.
Во-первых, следует рассмотреть наличие и отсутствие звука. В нотной записи должен отражаться как сам звук, так и паузы между звуками.
Во-вторых, звуки образуются в результате некоего движения, они имеют начало и конец.
Ноты и паузы — это символы, обозначающие наличие и отсутствие звука соответственно. Они же обозначают длительность звуков относительно других звуков и пауз.
Ноты
Длительность звуков обозначается с помощью нот. Ноты состоят из следующих элементов:
—
головка: небольшой овал черного или белого цвета;
—
штиль: вертикальная часть ноты, соединяющая головку и флажок (если он есть);
—
флажок: небольшая изогнутая линия, расположенная на противоположном от головки конце штиля.
Относительная длительность нот
Относительная длительность звуков и пауз сохраняется вне зависимости от того, с какой скоростью исполняется произведение. Скорость исполнения и, как следствие, реальная длительность нот во времени определяется темпом метронома — механического прибора, с помощью которого можно задать любую постоянную скорость исполнения.
Как мы уже говорили ранее, относительная длительность нот определяется цветом головки (черная или белая), а также присутствием или отсутствием штиля и флажков.
Так, головка целой и половинной ноты имеет белый цвет, всех остальных нот — черный цвет. У всех этих нот, за исключением целой, имеется штиль. Восьмая нота имеет один флажок, шестнадцатая — два, тридцать вторая — три и шестьдесят четвертая — четыре. Каждой ноте соответствует относительная длительность, обозначаемая числом 2
n где
n расположено на интервале от 0 до 6.
Последовательность нот в порядке убывания длительности выглядит так: целая, половинная, четвертная, восьмая, шестнадцатая, тридцать вторая и шестьдесятчетвертая. Базовой нотой является целая, ей соответствует число 1. Следующая нота — половинная, длительность которой в два раза меньше, чем целой. Это означает, что за время исполнения целой ноты могут прозвучать две половинных. За время исполнения половинной ноты могут прозвучать две четвертные. Длительность любой ноты в два раза меньше, чем предыдущей. На следующей иллюстрации представлена относительная длительность нот, начиная с целой ноты в вершине воображаемой пирамиды и заканчивая тридцать вторыми в ее основании:
В следующей таблице указана относительная длительность всех нот:
Число, соответствующее каждой ноте, показывает, сколько раз подряд ее можно исполнить за время звучания одной целой ноты. Отношение между длительностями нот является прямым и транзитивным: одна половинная нота равна двум четвертным, одна четвертная — четырем шестнадцатым; следовательно, одна половинная нота равна восьми шестнадцатым.
Ноты с флажком объединяются чертой, соединяющей штили, в группы, которые, как правило, подчиняются ритму, задаваемому нотами большей длительности:
Паузы
Пауза — противоположность звука и вторая основная составляющая музыки. Можно считать, что паузы — это основа музыки, которая прерывается звуками, но в музыкальной нотации пауза — это промежуток времени, в который не исполняется ни одного звука. Следовательно, длительность пауз должна быть четко задана. Для представления пауз различной длительности используется ряд специальных знаков, соответствующих разным нотам:
Точки
Очень часто возникает необходимость увеличить относительную длительность ноты или паузы. Для этого используются маленькие точки справа от головки ноты. Точка обозначает, что относительная длительность ноты, помеченной точкой, увеличивается на 50 %. Так, четвертная нота с точкой эквивалентна четвертной ноте (1/4) и ее половине, восьмой ноте (1/8). 1/4 + 1/8 = 3/8. Следовательно, четвертная нота с точкой эквивалентна трем восьмым.
Также применяется так называемая двойная точка, которая означает, что длительность исходной ноты необходимо увеличить на 75 %. Например, для половинной ноты первая точка увеличивает ее длительность на четвертную ноту, вторая — еще на восьмую ноту. Для четвертной ноты первая точка увеличивает длительность ноты на восьмую, вторая — еще на одну шестнадцатую ноту:
Приложение II
Второй взгляд на роль времени в музыке
Музыка как феномен дана нам исключительно для установления порядка вещей, по преимуществу — между человеком и временем.
Игорь Стравинский
Ощущение времени — источник всей музыки и всего ритма.
Оливье Мессиан
Мы живем в настоящем. Всё — настоящее. Нам известно лишь прошлое и настоящее. В прошлом настоящее не было известно, и мы могли лишь предполагать, каким оно будет. Возможно, прошлое в некотором смысле влияет на настоящее, но никогда не опережает его.
Мы можем осмотреть издалека дом или путь, который нам предстоит пройти, но разорвать узы времени нельзя: мы не можем взглянуть на него «издалека», не можем остановить его, чтобы передохнуть или поразмыслить о чем-то. Но даже несмотря на это люди способны чувствовать процессы, происходящие с течением времени. Суть метода очень проста: нужно спланировать некоторое событие, которое должно произойти в будущем, подождать, пока оно наступит, и зафиксировать его в этот самый момент. Спустя всего одно мгновение это событие станет прошлым и останется в нашей памяти. С музыкой происходит то же самое: она звучит в настоящем и остается в памяти. Музыка вольно или невольно пропитывается временем.
Модальность и тональность
Существует два музыкальных стиля и подхода к музыке: модальный и тональный. Основное различие между ними в том, как в этих стилях трактуется время. В западном мире наиболее распространена тональная музыка. Этот стиль родился в эпоху барокко, развивался в период приблизительно с 1600 по 1750 год и характеризуется тем, что развертывается последовательно во времени. В каждый момент тонального произведения за каждым аккордом следует следующий, аккордовое тяготение ослабляется в момент паузы. Роль, которую играет аккорд в этой цепочке чередующихся моментов напряжения и покоя, называется функцией аккорда.
Начиная с эпохи барокко тональная система переживала процесс непрерывных изменений на протяжении следующих периодов классицизма и романтизма. Хотя преобладала тональная музыка, культурный авангард начала XX века отходил от этого направления в сторону стиля, где отсутствовало бы аккордовое тяготение. Этот стиль называется атональным, или модальным.
В модальном стиле существуют две различные трактовки времени. С одной стороны, время как вечность — наиболее известный пример григорианских песнопений средневековой Европы, где нет обозначений прошлого, настоящего и будущего, иными словами, времени словно не существует. В другой трактовке время понимается как продолжающееся настоящее: звуковое событие является завершенным в каждый момент времени, оно не обусловлено какими-то событиями в прошлом и не влияет на звуковые события в будущем. Важно лишь настоящее. Помимо авангардной академической музыки, второй трактовке следует большая часть восточной музыки, часть фолк-музыки Южной Америки и джазовый стиль бибоп.
Различный подход к понятию времени в тональной и модальной музыке позволяет провести аналогию с другими видами искусства: тональная музыка, которая развертывается последовательно во времени, сравнима с танцем, модальная — с поэзией.
Библиография
ASSAYAG, G., FEICHTINGER, H.G., Rodrigues, J.F. (editores): Mathematics and Music, Berlín, Springer, 2002.
HOFSTADTER, D.R., Cödel, Escher, Bach: un eterno у grácil buck, Barcelona, Tusquets Editores, 2007.
KOLNEDER, W., Guíа de Bachf Madrid, Alianza Editorial, 1982.
LOY, G., Musimathics, Londres, The MIT Press, 2006.
SAMUEL, C., Panorama de la música contemporánea, Madrid, Ediciones Guadarrama, S.L., 1965.
* * *
Научно-популярное издание
Выходит в свет отдельными томами с 2014 года
Мир математики
Том 12
Хавьер Арбонес и Пабло Милруд
Числа — основа гармонии. Музыка и математика
РОССИЯ
Издатель, учредитель, редакция:
ООО «Де Агостини», Россия
Юридический адрес: Россия, 105066, г. Москва, ул. Александра Лукьянова, д. 3, стр. 1
Письма читателей по данному адресу не принимаются.
Генеральный директор: Николаос Скилакис
Главный редактор: Анастасия Жаркова
Выпускающий редактор: Людмила Виноградова
Финансовый директор: Наталия Василенко
Коммерческий директор: Александр Якутов
Менеджер по маркетингу: Михаил Ткачук
Менеджер по продукту: Яна Чухиль
Для заказа пропущенных книг и по всем вопросам, касающимся информации о коллекции, заходите на сайт www.deagostini.ru, по остальным вопросам обращайтесь по телефону бесплатной горячей линии в России:
8-800-200-02-01
Телефон горячей линии для читателей Москвы:
8-495-660-02-02
Адрес для писем читателей: Россия, 105066, г. Москва, а/я 13, «Де Агостини», «Мир математики»
Пожалуйста, указывайте в письмах свои контактные данные для обратной связи (телефон или e-mail).
Распространение:
ООО «Бурда Дистрибьюшен Сервисиз»
УКРАИНА
Издатель и учредитель:
ООО «Де Агостини Паблишинг» Украина
Юридический адрес: 01032, Украина, г. Киев, ул. Саксаганского, 119
Генеральный директор: Екатерина Клименко
Для заказа пропущенных книг и по всем вопросам, касающимся информации о коллекции, заходите на сайт www.deagostini.ua, по остальным вопросам обращайтесь по телефону бесплатной горячей линии в Украине:
0-800-500-8-40
Адрес для писем читателей:
Украина, 01033, г. Киев, a/я «Де Агостини», «Мир математики»
Украïна, 01033, м. Кiев, а/с «Де Агостiнi»
БЕЛАРУСЬ
Импортер и дистрибьютор в РБ:
ООО «Росчерк», 220037, г. Минск, ул. Авангардная, 48а, литер 8/к,
тел./факс: +375 17 331 94 27
Телефон «горячей линии» в РБ:
+ 375 17 279-87-87 (пн-пт, 9.00–21.00)
Адрес для писем читателей: Республика Беларусь, 220040, г. Минск, а/я 224, ООО «Росчерк», «Де Агостини», «Мир математики»
КАЗАХСТАН
Распространение: ТОО «КГП «Бурда-Алатау Пресс»
Издатель оставляет за собой право увеличить рекомендуемую розничную цену книг. Издатель оставляет за собой право изменять последовательность заявленных тем томов издания и их содержание.
Отпечатано в соответствии с предоставленными материалами в типографии:
Grafica Veneta S.p.A Via Malcanton 2
35010 Trebaseleghe (PD) Italy
Подписано в печать: 09.11.2013
Дата поступления в продажу на территории
России: 08.04.2014
Формат 70 х 100 / 16. Гарнитура «Academy».
Печать офсетная. Бумага офсетная. Печ. л. 5.
Усл. печ. л. 6,48.
Тираж: 200 000 экз.
© Javier Arbones у Pablo Milrud, 2010 (текст)
© RBA CoIIecionables S.A., 2012
© ООО «Де Агостини», 2014
ISBN 978-5-9774-0682-6
ISBN 978-5-9774-0704-5 (т. 12)
Оглавление
Предисловие
Глава 1
Игра на одной струне
Глава 2
Другое измерение: время
Глава 3
Геометрия композиции
Глава 4
Биты и волны
Глава 5
Математика для композитора
Приложение I
Основные понятия музыкальной нотации и теории музыки
Приложение II
Второй взгляд на роль времени в музыке
Библиография
Последние комментарии
23 часов 38 секунд назад
1 день 3 часов назад
1 день 9 часов назад
1 день 15 часов назад
1 день 23 часов назад
2 дней 58 минут назад